EasyManua.ls Logo

Bosch Rexroth MSK - Page 128

Bosch Rexroth MSK
178 pages
Print Icon
To Next Page IconTo Next Page
To Next Page IconTo Next Page
To Previous Page IconTo Previous Page
To Previous Page IconTo Previous Page
Loading...
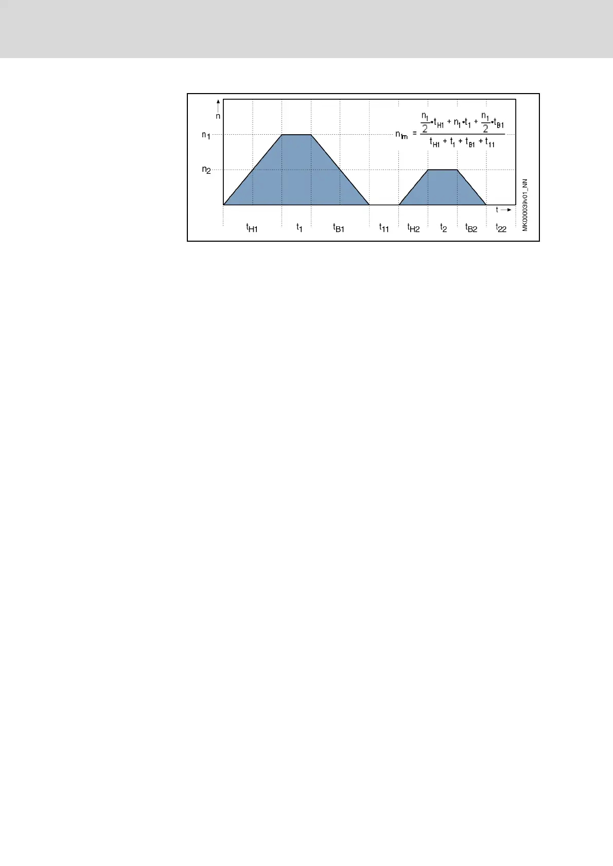
n
1m
; n
2m
Average speed section x
n
1
; n
2
Processing speed
t
H1
; t
H1
Run-up time
t
1
; t
2
Processing time
t
B1
; t
B2
Braking time
t
11
; t
22
Downtime
Fig. 10-7: Average speed
A complete processing cycle can consist of several sections with different
speeds. In this case, the average of all sections shall be calculated.
Bosch Rexroth AG DOK-MOTOR*-MSK*EXGIIK3-PR09-EN-P126/175
Synchronous Servomotors MSK For Potentially Explosive Areas
Operating conditions and application notes

Table of Contents

Related product manuals