EasyManua.ls Logo

Cornelius CCM0330 - Uneven Bridge Thickness

Cornelius CCM0330
129 pages
Print Icon
To Next Page IconTo Next Page
To Next Page IconTo Next Page
To Previous Page IconTo Previous Page
To Previous Page IconTo Previous Page
Loading...
Troubleshooting Trees
Page C10
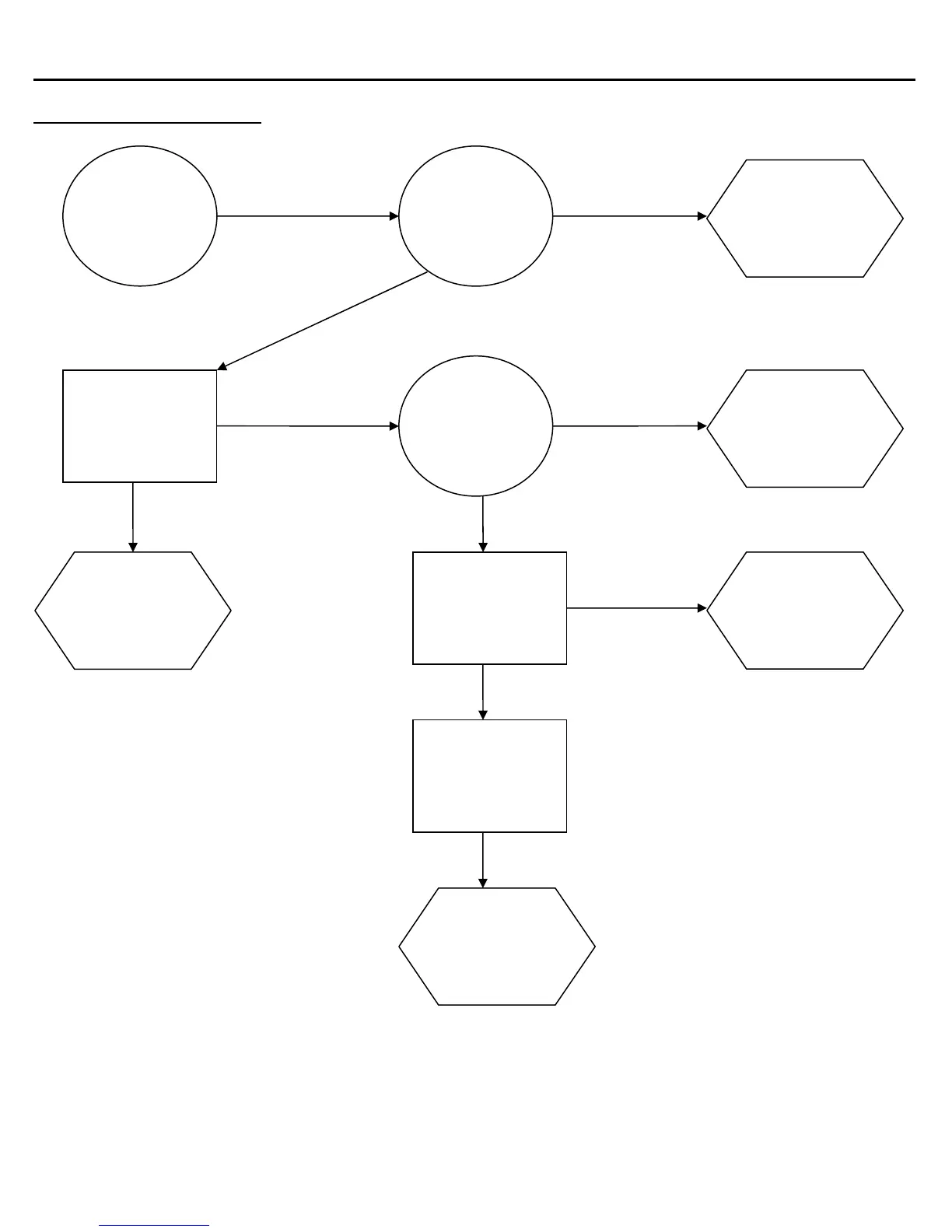
Uneven Bridge Thickness
HIGH
Make sure
supply water
temperature is
below 100°F
(38°C)
Check for water
leaking out of Purge
Drain
NO
YES
YES
Problem in
water system,
see pages D1
and D2.
Dirty or
defective Purge
Valve
Is water
running into
the bin?
NO
OK
Are the
Evaporator(s)
flooded? See
page E4 and
E5
Serpentine coil
on back of
evaporator
could be
separated, see
page E4
Check the suction
pressure, is it high or
low? See pageE1
LOW
Make sure the
system is charged
properly, recover the
charge and weigh in
the correct amount
NO
Hot Gas Valve
could be
leaking, see
page E5
OK
Refer to page
E3 and E4 for
TXV diagnosis.

Table of Contents

Related product manuals