EasyManua.ls Logo

Cornelius CCM0330 - Poor Water Distribution Over The Evaporator

Cornelius CCM0330
129 pages
Print Icon
To Next Page IconTo Next Page
To Next Page IconTo Next Page
To Previous Page IconTo Previous Page
To Previous Page IconTo Previous Page
Loading...
Troubleshooting Trees
Page C13
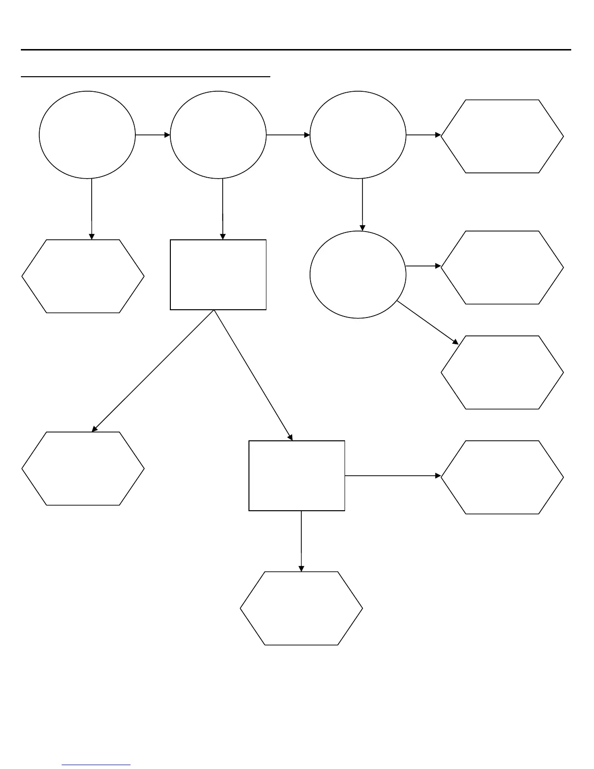
Poor Water Distribution Over The Evaporator
YES
Is the machine
level?
Check Water
Distribution Tube for
obstructions or
improper assembly
See Section D
NO
YES
YES
Correct
deficiency in
supply water
pressure
Level the
machine
Is the supply
water
pressure
correct?
NO
BAD
Is the water
level in the
Water Trough
correct? See
Section D
Purge valve
stuck open,
clean or replace
if defective
Float Valve not
adjusted
properly or
could be
defective
YES
Check Water Pump
for proper operation
Water Pump
obstructed or
may be
defective
Clean Water
Distribution
Tube; insure
that it is
assembled
correctly
NO
OBSTRUCTED CLEAR
GOOD
Clean
Evaporator and
Spillway. See
Section B for
cleaning
instructions
Is water
leaking from
the Purge
Drain?
NO

Table of Contents

Related product manuals