EasyManua.ls Logo

Cornelius CCM0330 - Machine Does Not Enter Harvest

Cornelius CCM0330
129 pages
Print Icon
To Next Page IconTo Next Page
To Next Page IconTo Next Page
To Previous Page IconTo Previous Page
To Previous Page IconTo Previous Page
Loading...
Troubleshooting Trees
Page C14
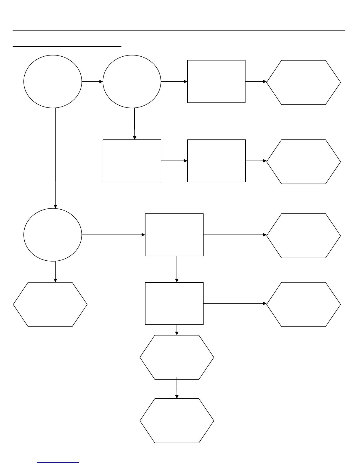
Machine Does Not Enter Harvest
YES
Will suction
pressure drop
below cut-in of
Timer Initiate?
Check Purge Valve
to make sure it is not
leaking, if it is
replace valve or
remove obstruction
OK
Hot Gas Valve
could be leaking
Does the
manual Purge
Switch
energize the
Purge Valve?
NO
O
K
Is the freeze
pattern on the
Evaporator
even?
TXV(s) may be
stuck open, see
page E3 and E4
Timer Initiate
Control out of
adjustment or
may be
defective
YES
Check for signs of a
weak Compressor,
see page E1
High
Temperature
Safety Control
may be open,
see page F8
Check Timer
Number 2
NO
NOT OK
Make sure system is
not overcharged
Check Timer Initiate
Control for correct
cut-in pressure
Check Timer
Number 1 for proper
setting and
operation
NOT OK
O
K
O
K
YES
O
K
Relay Number 1
or Relay Base
may be
defective
O
K
Timer may be
defective
NO

Table of Contents

Related product manuals