EasyManua.ls Logo

Denon AVR-X6200W - Sch03_Audio Pld

Denon AVR-X6200W
218 pages
To Next Page IconTo Next Page
To Next Page IconTo Next Page
To Previous Page IconTo Previous Page
To Previous Page IconTo Previous Page
Loading...
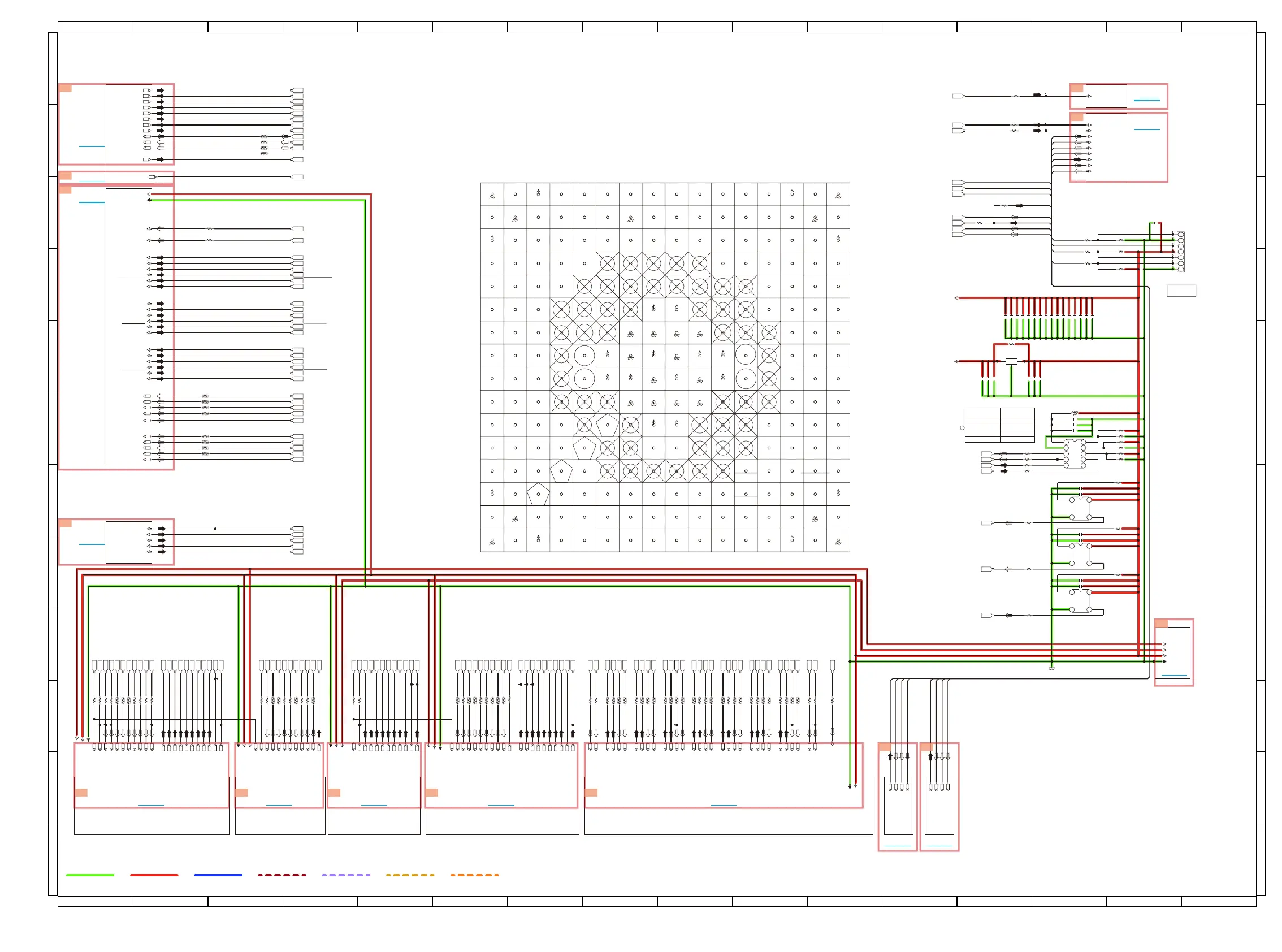
SCHEMATIC DIAGRAMS (03/33)
SCH03_AUDIO PLD
GND LINE
POWER- LINE
POWER+ LINE
AUDIO SIGNAL TMDS SIGNAL ANALOG VIDEO DIGITAL VIDEO
DA3.3V
DGND
C1226
0.1
11A121
L1201
CS2100-10-CZZR
U1203
1
VD
2
GND
3
CLK_OUT
4
AUX_OUT
5
CLK_IN
6
XTO
7
XTI/REF_CLK
8
M2
9
M1
10
M0
4.7u
C1219
0.1
C1220
U1205
24.576M
ST
1
2
GND
3
OUT
4
VDD
R1221 33
33
R1217
C1225
1000P
C1221
1000P
MAINDIRDATA
MAINDIR64fs
MAINDIRfs
DLHD
MAINDIRERR
MAINDIRAUDIO
DA3.3V
DGND
Z2DIRfs
MAINDIR256fs
Z2DIR256fs
DIR_XIN
R1228
1K
R1230
10K
N1201
OPEN
1
2
3
4
5
6
7
R1229
10K
APLD_CS1
APLD_DATA
APLD_CLK
-
-
-
-
-
-
-
DA3.3V
DGND
0.1
C1212
0.1
C1208
0.1
C1214
0.1
C1210
0.1
C1204
0.1
C1206
0.1
C1205
0.1
C1207
0.1
C1215
0.1
C1216
1000P
C1228
1000P
C1218
1000P
C1227
1000P
C1217
1000P
C1229
1000P
C1222
R1219
33
R1220
33
10K
R1227
DSP4INFH
OUTPUT
DSP4IN64fs
OUTPUT
DSP4INfs
OUTPUT
DSP4INSB
OUTPUT
DSP4INCSW
OUTPUT
DSP4INS
OUTPUT
DSP4INRSV
OUTPUT
DSP4INF
OUTPUT
DSP4INFW
OUTPUT
DSP4OUTFH
INPUT
DSP4OUTFW
INPUT
DSP4OUTSB
INPUT
DSP4OUTCSW1
INPUT
DSP4OUTF
INPUT
DSP4OUTSW2RSV
INPUT
DSP4OUTS
INPUT
-
-
33
R1210
33R1202
.DSP4INF
F1
.DSP4INRSV
G2
.TX64fs
R5
.HDMISPDIF
P14
DGND
DGND
DSP4OUTCSW1
N3
DA3.3V
DGND
CSREFIN
H12
DA3.3V
DSP4OUT64fs
L4
OSC24M
J12
DGND
DA3.3V
MAINDIRDATA
M13
DA1.8V
M AINDIRfs
K14
Z3DIRERR
P13
DGND
DSP4OUTFH
M3
DGND
Z3DIR64fs
M8
OSC25M
T8
DGND
DA3.3V
DA3.3V
MAINDIRERR
N16
DA3.3V
.DSP4INS
G1
.DSP1_4_CLKIN
R8
DA3.3V
DSP4OUTSB
M4
MAINDIR256fs
G14
Z3DIRfs
T9
DGND
Z3DIRAUDIO
N12
.DSP2_3_CLKIN
T7
SUB_TDI
L6
.DSP4INfs
F2
Z3DACMUTE
L13
DSP4OUTSW2RSV
J3
Z3DIR256fs
M9
DGND
SUB_TCK
P3
.DIR_XIN
M15
Z2DIRDATA
R13
.Z2PLDAERR
L2
SUB_TMS
N4
DSP3OUTRSV
T15
DGND
.DACPCMFW/DSDFWL
B8
DA3.3V
CSCKIN
K2
DA3.3V
.DLHD
C6
DGND
DGND
Z2DIRfs
R14
DGND
.DSP4INSB
H3
DA3.3V
.DSP4IN64fs
H1
MAINDIRAUDIO
N15
DA1.8V
.DACPCMFH/DSDFHL
D11
DA3.3V
DA3.3V
DA3.3V
.DSP4INFH
J1
DGND
.TXI2S0
R6
.DSP4INFW
J2
Z3DIRDATA
P9
DSP4OUTF
G3
DGND
CSCKOUT
H5
Z2DIRERR
P11
.TXfs
T4
DA3.3V
DGND
DGND DGND
DSP4OUTFW
F3
DA3.3V
DA1.8V
DSP4OUTfs
L3
Z2DIR64fs
T15
DA1.8V
.DSP4INCSW
H2
DA3.3V
.Z2DAC256fs
T13
Z2DIR256fs
R16
DSP4OUTS
K3
DGND
DGND
M AINDIR64fs
J14
33
R1207
33
R1201
10K
R1231
OPEN
R1235
10K
R1236
OPEN
R1233
0.1
C1202
0.1
C1211
4.7u
C1209
IN
OUT
NJM2845DL1-18
U1202
1000P
C1213
1000P
C1203
DA1.8V
4.7u
C1201
OPEN
R1213
.DACLRCK7/DSDFWR
A8
.DSP3INRSV
M16
-
-
DGND
.PLDAERRMAIN
T5
APLD_DATA
M1
APLD_CS1
M2
APLD_CLK
N2
SUB_TCK
SUB_TDI
SUB_TDO
SUB_TMS
PLDAERRMAIN
33
R1216
100
R1211
DSP3OUT64fs
OUTPUT
-
DSP3OUT64fs
F14
DSP3OUTfs
OUTPUT
DSP3OUTFH
D12
DSP3OUTSB
D13
.DSP3INCSW
F15
DSP3OUTSB
INPUT
DSP4_FLAG3
E3
DSP3OUTFH
INPUT
.DSP3IN64fs
E16
DSP3INfs
OUTPUT
.DSP3INS
E15
DSP3INSB
OUTPUT
-
.DSP3INFH
C15
-
.DSP3INF
F16
DSP3OUTCSW1
INPUT
-
.DSP3INFW
D15
.DSP3INSB
D16
DSP3INFH
OUTPUT
DSP3OUTF
INPUT
DSP3_FLAG3
E13
DSP1_FLAG3
INPUT
DSP3OUTfs
F13
DSP3INF
OUTPUT
-
.DSP3INfs
G15
-
DSP3OUTFW
INPUT
-
DSP3IN64fs
OUTPUT
DSP3INCSW
OUTPUT
DSP3OUTS
E14
DSP3INS
OUTPUT
DSP3OUTF
D14
DSP3OUTCSW1
C13
DSP3OUTS
INPUT
.DZFFWR
C8
DSP3INFW
OUTPUT
DSP3OUTFW
C14
.DSP3IN256fs
G16
OPENR1232
10K
R1234
.Z3DACDATA
R10
Z2DACMUTE
L14
.Z3DACfs
R9
.Z3DAC64fs
R10
TDO1_TDI2
M5
.DSP1INRSV/FR
B1
DSP1INF/FL
OUTPUT
DSP1INfs
OUTPUT
-
DSP2OUTS
D3
DSP2OUTFW
INPUT
-
DSP2OUTfs
E4
DSP2OUTS
INPUT
.DSP1INF/FL
A4
DSP1INS/SL
OUTPUT
DSP1INSWC/C
OUTPUT
.DSP1INS/SL
E2
DSP2OUTF
B6
DSP1INSB/SR
OUTPUT
.DSP1IN64fs
D2
-
DSP2OUTCSW
INPUT
DSP2OUTCSW
C4
DSP2OUTFH
A7
DSP2OUTSB
C7
-
DSP2OUTF
INPUT
.DZFFWL
A9
DSP2OUTFH
INPUT
.DSP1INLR
A5
-
-
.DSP1INRSV/SW
D1
.DSP1INSB/SR
B5
.DSP1INfs
B4
-
DSP2OUT64fs
D5
DSP1IN64fs
OUTPUT
DSP2OUTFW
C5
DSP2_FLAG3
INPUT
.DSP1INSWC/C
A2
DSP2OUTSB
INPUT
DACLRCK4/DSDSR
OUTPUT
DACLRCK2/DSDSW1
OUTPUT
.DZFSR
A15
DACLRCK5/DSDSBR
OUTPUT
.DACLRCK4/DSDSR
B14
.DACPCMS/DSDSL
B13
.DACLRCK3/DSDRSV
A12
.DZFRSV
B12
.DZFFR
K15
.DZFFHR
C10
.DACBCK2/LO2
C12
.DZFSL
B16
33
R1206
33
R1209
.DACMCK2/SCK2
M14
.DZFSW2
A13
DZFRSV
OUTPUT
.DACLRCK2/DSDSW1
H16
DACPCMF/DSDFL
OUTPUT
.DSP1IN256fs
B3
.DACPCMCSW1/DSDC
H15
DACBCK2/LO2
OUTPUT
.DACBCK1/LO1
L15
DZFSBL
OUTPUT
DSP1_FLAG3
C2
.DACPCMF/DSDFL
J15
.DACPCMSB/DSDSBL
B9
.DACPCMSW2RSV/DSDSW2
B11
DACMCK2/SCK2
OUTPUT
DACLRCK1/DSDFR
OUTPUT
DZFFL
OUTPUT
DSP2_FLAG3
C3
DACPCMSW2RSV/DSDSW2
OUTPUT
DZFSBR
OUTPUT
.Z2DACDATA
T12
DACBCK1/LO1
OUTPUT
.DZFFHL
C11
DACMCK1/SCK1
OUTPUT
DZFSL
OUTPUT
.DZFC
J16
.DACMCK1/SCK1
N14
.DZFSBR
B10
DZFSR
OUTPUT
DACLRCK3/DSDRSV
OUTPUT
DACPCMSB/DSDSBL
OUTPUT
DZFSW1
OUTPUT
.DZFSBL
A11
.DSP4IN256fs
E1
.DZFFL
L16
.DACLRCK6/DSDFHR
C9
.DACLRCK5/DSDSBR
A10
DACPCMCSW1/DSDC
OUTPUT
DZFC
OUTPUT
.DACLRCK1/DSDFR
K16
.DZFSW1
H14
-
BCODSDR
P8
33
R1218
CSERR
K1
DSP1INRSV/SW
OUTPUT
DSP1INLR
OUTPUT
DSP1INRSV/FR
OUTPUT
C1230
100P
100
R1223
100
R1224
100
R1225
DSP2OUTRSV
A6
BCODATA/DSDL
R7
.Z3PLDAERR
L1
BCOBCK/SCK
T6
.Z3DAC256fs
T11
.Z2DAC64fs
R12
.Z2DACfs
R11
BCOMCK
P7
OPENR1226
R1222
OPEN
C1224
OPEN
U1204
OPEN
ST
1
2
GND
3
OUT
4
VDD
C1223
OPEN
BCOLRCK
P6
Z2DIRAUDIO
P12
DGND
DA3.3V
DA1.1V
DGND
DA3.3V
DA1.1V
DGND
DA3.3V
DA1.1V-2
DA1.1V
-
-
Z2DIRERR
Z3DIRERR
Z2DIRAUDIO
Z3DIRAUDIO
BCOLRCK
BCODATA/DSDL
BCODSDR
BCOMCK
BCOBCK/SCK
33
R1208
DZFSW2
OUTPUT
DZFFR
OUTPUT
RXI2S2/DSD3
INPUT
RX256fs/DSDMCK
INPUT
RX256fs/DSDMCK
R3
RXI2S1/DSD2
INPUT
RX64fs/DSDSCK
T2
RXSPDIF/DSD0
INPUT
RXI2S2/DSD3
N5
RXI2S3/DSD4
INPUT
TX_HAINT
INPUT
RXSPDIF/DSD0
R4
RXI2S0/DSD1
INPUT
TX_HAINT
N1
RXI2S3/DSD4
P4
RXI2S0/DSD1
R1
RXI2S1/DSD2
P5
RXfs/DSD5
P2
RX64fs/DSDSCK
INPUT
RXfs/DSD5
INPUT
TX64fs
OUTPUT
TXI2S0
OUTPUT
TXfs
OUTPUT
-
-
-
-
-
-
-
-
-
Z2DIR64fs
Z3DIR256fs
Z3DIR64fs
Z3DIRfs
Z2DIRDATA
Z3DIRDATA
Z2DAC256fs
OUTPUT
Z2DACfs
OUTPUT
Z2DACDATA
OUTPUT
Z2DAC64fs
OUTPUT
Z2DACMUTE
OUTPUT
Z3DAC256fs
OUTPUT
Z3DAC64fs
OUTPUT
Z3DACfs
OUTPUT
Z3DACDATA
OUTPUT
Z3DACMUTE
OUTPUT
DSP4_FLAG3
INPUT
DSP4IN256fs
OUTPUT
DSP4OUT64fs
INPUT
DSP4OUTfs
INPUT
DSP1IN256fs
OUTPUT
-
-
-
-
DSP2OUT64fs
INPUT
DSP2OUTfs
INPUT
DSP3IN256fs
OUTPUT
100
R1205
DSP3_FLAG3
INPUT
DACPCMS/DSDSL
OUTPUT
DZFFHL
OUTPUT
DZFFHR
OUTPUT
DACLRCK6/DSDFHR
OUTPUT
DACPCMFH/DSDFHL
OUTPUT
DZFFWL
OUTPUT
DZFFWR
OUTPUT
DACLRCK7/DSDFWR
OUTPUT
DACPCMFW/DSDFWL
OUTPUT
. TDO1_TDI2
OUTPUT
SUB_TMS
OUTPUT
..TDO1_TDI2
OUTPUT
SUB_TCK
OUTPUT
DGND
DA3.3V
0
R1212
.DSP2IN256fs
D4
Z2PLDAERR
Z3PLDAERR
33
R1214
33
R1215
DIGITAL_UNIT
8U-310202(3/18)
SUB_TMS
OUTPUT
. TDO1_TDI2
OUTPUT
SUB_TCK
OUTPUT
SUB_TDO
OUTPUT
-
-
1
A
2345678910 11 12 13 14 15 16
B
C
D
E
F
G
H
K
L
M
N
P
R
T
J
5M570ZF256C5N
U1201
A1 A2 A3 A4 A5 A6 A7 A8
A9 A10 A11 A12 A13 A14 A15 A16
B1 B2 B3 B4 B5 B6 B7 B8
B9 B10 B11 B12 B13 B14 B15 B16
C1 C2 C3 C4 C5 C6 C7 C8
C9 C10 C11 C12 C13 C14 C15 C16
D1 D2 D3 D4 D5 D6 D7 D8
D9 D10 D11 D12 D13 D14 D15 D16
E1 E2 E3 E4 E5 E6 E7 E8
E9 E10 E11 E12 E13 E14 E15 E16
F1 F2 F3 F4 F5 F6 F7 F8
F9 F10 F11 F12 F13 F14 F15 F16
G1 G2 G3 G4 G5 G6 G7 G8
G9 G10 G11 G12 G13 G14 G15 G16
H1 H2 H3 H4 H5 H6 H7 H8 H9 H10
H11 H12 H13 H14 H15 H16
J1 J2 J3 J4 J5 J6 J7 J8 J9 J10
J11 J12 J13 J14 J15 J16
K1 K2 K3 K4 K5 K6 K7 K8 K9 K10
K11 K12 K13 K14 K15 K16
L1 L2 L3 L4 L5 L6 L7 L8 L9 L10
L11 L12 L13 L14 L15 L16
M1 M2
M3 M4 M5 M6 M7 M8 M9 M10
M11 M12 M13 M14 M15 M16
N1 N2 N3 N4 N5 N6 N7 N8 N9 N10 N11 N12 N13 N14 N15 N16
P1 P2 P3 P4 P5 P6 P7 P8 P9 P10 P11 P12 P13 P14 P15 P16
R1 R2 R3 R4 R5 R6 R7 R8 R9 R10 R11 R12 R13 R14 R15 R16
T1 T2 T3 T4 T5 T6 T7 T8 T9 T10 T11 T12 T13 T14 T15 T16
HDMISPDIF
OSC30M
J5
-
-
-
-
-
-
-
-
-
-
-
-
-
-
-
-
-
-
-
-
-
-
-
-
-
-
-
-
-
-
-
-
-
100
R1255
100
R1256
100
R1257
100
R1259
100
R1265
100
R1267
100
R1268
100
R1266
100
R1261
100
R1262
100x4
R1251
7
8
100x4
R1239
12
33x4
R1237
7
8
100x4
R1253
3
4
100x4
R1238
56
100x4
R1247
1
2
100x4
R1254
3
4
100x4
R1253
5
6
100x4
R1248
3
4
33x4
R1237
5
6
100x4
R1239
56
33x4
R1237
1
2
100x4
R1239
34
100x4
R1247
7
8
100x4
R1251
5
6
100x4
R1252
3
4
100x4
R1254
5
6
100x4
R1248
1
2
100x4
R1250
3
4
100x4
R1252
7
8
100x4
R1238
12
100x4
R1247
3
4
100x4
R1250
1
2
100x4
R1252
1
2
100x4
R1253
1
2
100x4
R1248
5
6
100x4
R1246
5
6
100x4
R1252
5
6
100x4
R1238
34
100x4
R1249
1
2
100x4
R1251
1
2
100x4
R1249
3 4
33x4
R1237
3
4
100x4
R1249
5
6
100x4
R1251
3
4
100x4
R1254
1
2
100x4
R1246
3
4
100x4
R1250
5
6
100x4
R1250
7
8
100x4
R1238
78
100x4
R1247
5
6
100x4
R1253
7
8
100x4
R1239
78
100x4
R1246
1
2
100x4
R1254
7
8
100x4
R1249
7
8
100x4
R1248
7 8
100x4
R1246
7
8
Z2_HAINT
P10
Z2_HAINT
INPUT
DSP4OUTRSV
INPUT
DSP2IN256fs
INPUT
DSP2OUTRSV
INPUT
DSP4OUTRSV
N13
DSP3INRSV
INPUT
DSP3OUTRSV
INPUT
DA1.1V-2
DGND
DA3.3V
DA1.1V-2
100
R1243
100
R1271
100
R1272
100
R1275
100x4
R273
5
6
100x4
R273
3
4
100x4
R273
1
2
100x4
R273
7
8
100x4
R1263
3
4
100x4
R1263
5
6
100x4
R1263
7
8
100x4
R1263
1
2
U1206
30.0M
ST
1
GND
2
OUT
3
VDD
4
10K
R1273
C1231
1000P
R1274 33
C1232
0.1
DSP2_3_CLKIN
OUTPUT
DSP2_3_CLKIN
OUTPUT
DSP1_4_CLKIN
OUTPUT
DSP1_4_CLKIN
OUTPUT
22
R1276
22
R1277
.Z3DAC256fs
.DACLRCK5/DSDSBR
.Z2DACDATA
.DZFSBL
.DIR_XIN
.DACLRCK3/DSDRSV
MAINDIRDATA
.DZFSW2
.Z2DAC256fs
.DSP1INF/FL .DZFSR
Z2DIR256fs
.DSP1INLR
Z2DIRfs
DSP3OUT64fs
.DSP1INSWC/C
Z2DIR64fs
.DSP3INCSW
BCOLRCK
M AINDIRfs
.Z3PLDAERR
DSP3OUTfs
.Z2PLDAERR
RXI2S1/DSD2
.DZFFR
DSP4OUTfs
BCOMCK
.DSP1INRSV/FR
.DACLRCK1/DSDFR
RXI2S3/DSD4
.DSP4INRSV
BCODSDR
.DSP3INS
Z2_HAINT
APLD_CS1
Z3DIRDATASUB_TCK
.DSP4INSB
APLD_DATA
CSCKOUT
DSP4OUTF
.DSP4INfs
DSP3OUTS
Z2DIRERR
.DACLRCK4/DSDSR
.DACLRCK2/DSDSW1
.DSP4INF
M AINDIR64fs
.DSP3INRSV
DSP2OUTF
.DSP3IN64fs
DSP4OUTS
.DACPCMSW2RSV/DSDSW2
.DACBCK1/LO1
.DACPCMS/DSDSL
.DACPCMF/DSDFL
.DZFFL
.DZFSL
Z3DACMUTE
OSC24M
DSP4_FLAG3
.DACLRCK6/DSDFHR
APLD_CLK
.DSP1INS/SL
RXI2S2/DSD3
DSP3_FLAG3
DSP4OUTCSW1
.DZFFHR
DSP2OUTfs
SUB_TMS
.DZFFHL
Z2DIRAUDIO
MAINDIRERR
.DZFC
Z3DIRERR
.DZFRSV
.DACBCK2/LO2
CSCKIN
.HDMISPDIF
Z3DIRAUDIO
DSP3OUTCSW1
.DACPCMSB/DSDSBL
DSP3OUTFW
.DZFSBR
CSERR
.DSP4INFW
RX256fs/DSDMCK
DSP4OUTRSV
DSP3OUTRSV
.DACPCMFW/DSDFWL
.DSP3INFH
Z3DIR64fs
.DSP4INFH OSC30M
Z3DIR256fs
.DSP1INRSV/SW
DSP4OUTSB
SUB_TDI
RXI2S0/DSD1
MAINDIRAUDIO
.DSP1IN64fs
TDO1_TDI2
.DACMCK1/SCK1
DSP2OUTS
DSP4OUTSW2RSV
.TX64fs
.DSP2IN256fs
RXSPDIF/DSD0 .TXI2S0
.DSP1INSB/SR
BCODATA/DSDL
DSP1_FLAG3
.DACPCMFH/DSDFHL
DSP2_FLAG3
DSP2OUT64fs
.DSP1_4_CLKIN
TX_HAINT
DSP3OUTFH
.Z3DACfs
.DSP3INfs
.Z3DAC64fs
DSP2OUTCSW
DSP3OUTSB
.Z2DACfs
DSP4OUTFH
.DACLRCK7/DSDFWR
MAINDIR256fs
DSP4OUTFW
DSP2OUTFH
DSP3OUTF
DSP2OUTFW
DSP2OUTRSV
.Z2DAC64fs
.DSP3INFW
.DLHD
Z2DIRDATA
.DSP3INSB
DSP2OUTSB
.DSP3IN256fs
DSP4OUT64fs
.DSP4IN256fs
.DZFFWR
.DSP3INF
.DSP4INS
.DZFFWL
RXfs/DSD5
.DSP1INfs.DSP1IN256fs
RX64fs/DSDSCK
.DSP4IN64fs
.TXfs
.DSP4INCSW
.PLDAERRMAINBCOBCK/SCK.DSP2_3_CLKIN
.DZFSW1
OSC25M
.DACPCMCSW1/DSDC
.DACMCK2/SCK2
Z2DACMUTE
Z3DIRfs
CSREFIN
.Z3DACDATA
SUB_TDI
SUB_TMS
SUB_TDO
APLD_CLK
APLD_DATA
APLD_CS1
APLD_CS1
SUB_TDI
SUB_TCK
SUB_TMS
APLD_CLK
APLD_DATA
SUB_TCK
SUB_TCK
SUB_TMS
SUB_TDI
..TDO1_TDI2
SUB_TDO
.TDO1_TDI2
SUB_TMS
..TDO1_TDI2
SUB_TCK
SUB_TDO
SUB_TMS
.TDO1_TDI2
SUB_TCK
.TDO1_TDI2
[M0:M1:M2] Share Ratio
[0:0:0]
[1:0:0]
[0:1:0]
[1:1:0]
Pins SettingCLKIN -> OUT
X256
X512
X1
X2
CS2100-10 CLK Ratio Tabel
T.P
CKIN
CKINCKIN
CKIN
AUDIO PLD
SUB_TDI
SUB_TDO
K
M
O
I
TCK
GND
TDO
VCC
TMS
TDI
GND
RXSPDIF is common port with ARC
TDO1_TDI2
VIDEO PLD
0A
TO A0
1A
TO A1
3A
TO A3
0B
TO B0
B4
TO 4B
B5
TO 5B
B6
TO 6B
B7
TO 7B
B8
TO 8B
B9
TO 9B
C0
TO 0C
C1
TO 1C
C2
TO 2C
C3
TO 3C
137
1 2 3 4 5 6 7 8 9 10 11 12 13 14 15 16
A
B
C
D
E
F
G
H
J
K
L
M
A
B
C
D
E
F
G
H
J
K
L
M
1 2 3 4 5 6 7 8 9 10 11 12 13 14 15 16

Table of Contents

Other manuals for Denon AVR-X6200W

Related product manuals