EasyManua.ls Logo

epro MMS 6000 - Page 23

epro MMS 6000
52 pages
Print Icon
To Next Page IconTo Next Page
To Next Page IconTo Next Page
To Previous Page IconTo Previous Page
To Previous Page IconTo Previous Page
Loading...
MMS6110Directionforuse
Configuration Page21
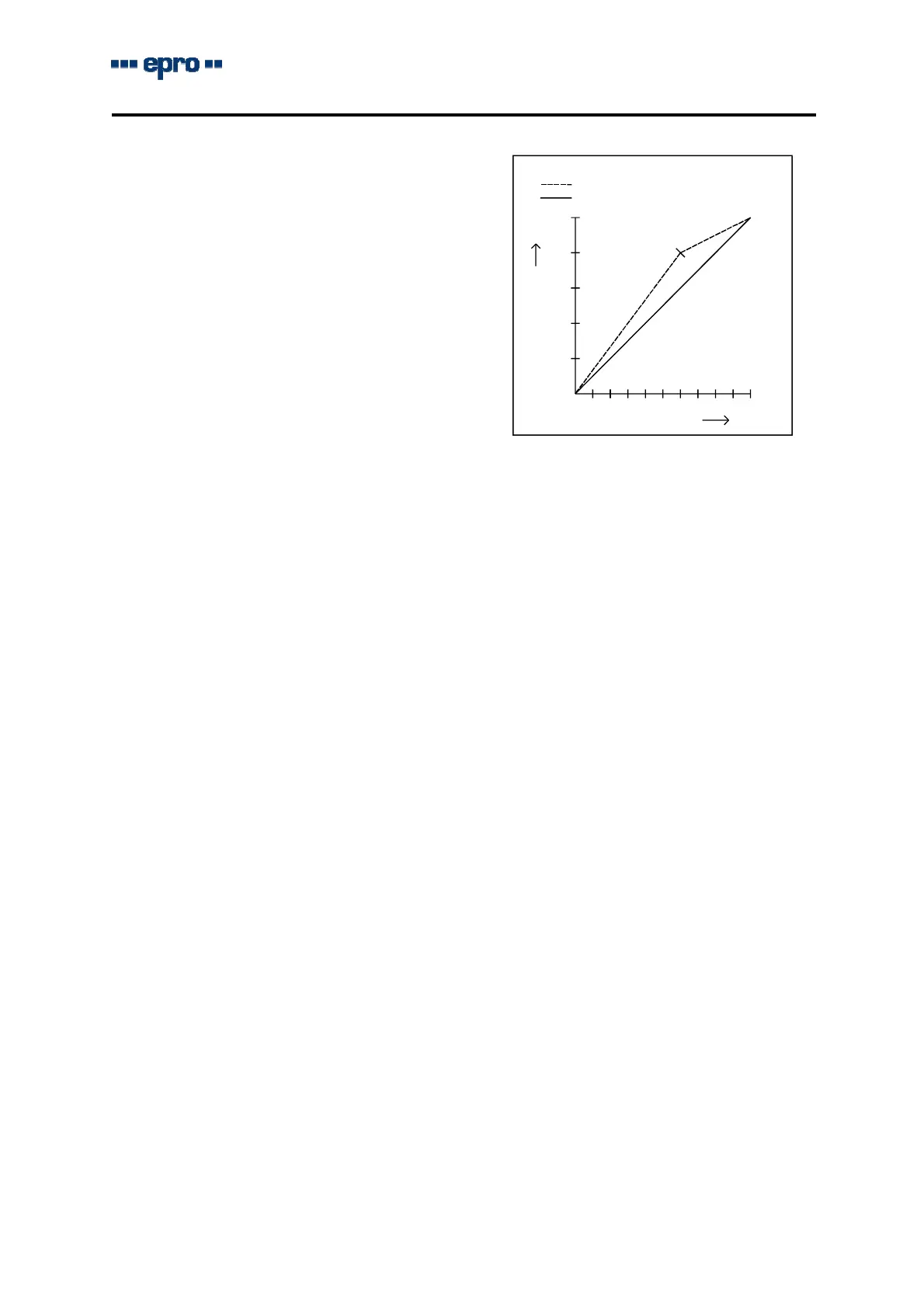
Intheexamplebelow,thevaluesforthe
breakpointareasfollows:
Displayvalue: 160µm
%Scalefactor:60
%
Characteristiccurvewithbreakpoint
Characteristiccurvewithoutbreakpoint
80
20
40
40
160
120
200
µm
Breakpoint
60
80
%
100

Diagram3

Table of Contents