EasyManua.ls Logo

Ferroli ECOTRONIC Plus - Page 83

Ferroli ECOTRONIC Plus
Print Icon
To Next Page IconTo Next Page
To Next Page IconTo Next Page
To Previous Page IconTo Previous Page
To Previous Page IconTo Previous Page
Loading...
35 |
ECOTRONIC Plus
© Ferroli 08164 ECOTRONIC Plus.monen.indd
Adjustment channel for night correction (night set back)
of the heating circuit. For the night correction function,
time frames (see below) can be adjusted. Within these time
frames, the set flow temperature of the curve will be de-
creased (set back) by the adjusted temperature value.
Adjustment channel for the day correction function of the
heating circuit. The day correction function is always acti-
vated outside the 3 time frames of the night correction
function and generally raises or lowers the setpoint during
building occupation. The set flow temperature of the curve
will be decreased or increased by the adjusted temperature
value.
Adjustment channel for the admissible maximum flow tem-
perature of the heating circuit. If the maximum flow tempe-
rature is exceeded, the heating circuit will be switched off.
(the mixer will close and the pumps will be switched off).
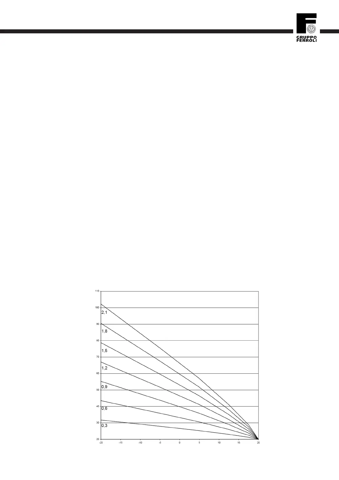
The heating curve used by the controller can be increased
or decreased to suit the building heating load as shown in
the family of curves below. Increasing this value has the ef-
fect of raising the flow set temperature, reducing the value
will lower the set flow temperature.
Night correction:
arrangement/heat.circuits/heating circuit/
night corr.
adjustmentrange:-20...+30K
factorysetting:-5K
Day correction:
arrangement/heat.circuits/heating circuit/
day corr.
adjustmentrange:-5...+45K
factorysetting:5K
Maximum flow temperature:
arrangement/heat.circuits/heating circuit/
tflow max
adjustment range: 10 ... +100 °C
factory setting: 50 °C
Heating curve:
arrangement/heat.circuits/heating circuit/
heat. curve
adjustment range: 0,3 ... 3,0
factory setting: 1,0
heating curves
flow temperature in ° C
outdoor temperature in ° C

Related product manuals