EasyManua.ls Logo

Flymaster GPSm - Base Frequency; Increments; Cadence; Buzzer

Flymaster GPSm
71 pages
Print Icon
To Next Page IconTo Next Page
To Next Page IconTo Next Page
To Previous Page IconTo Previous Page
To Previous Page IconTo Previous Page
Loading...
Page 62
Flymaster GPS M User Manual v. 1.0
Base Frequency- The audio frequencies can be adjusted to match the user's preference, by
setting the Base Frq and Increments.
The Base Frq is the first frequency used to produce the initial sound which corresponds to the climb
threshold (by default 0.1 m/s). Later, as the climb rate increases, a bip, bip sound is produced for
which the cadence, and frequency, also increase. The Base Frq can be set from 500 to 1500 Hz.
The higher is the frequency value, the higher pitched the sound is.
In order to change the base frequency value press the ENTER key after the Audio Frequencies
menu option is highlighted. This action will highlight the Base Frq value so it can be increased using
the UP key, or decreased using the DOWN key. The ENTER key should then be pressed, thus
confirming the Base Frq setting. The pre-set value for Base Frq is 700 Hz.
Increments- The Increments parameter sets the frequency increment for each 0.1 m/s climb
rate increase. The increments can be set from 1 to 99 Hz. The pre-set value for Increments is 10
Hz.
Considering an Increments value of 10, and Base Frq of 700 Hz, the vario frequency at 1 m/s is
800 Hz.
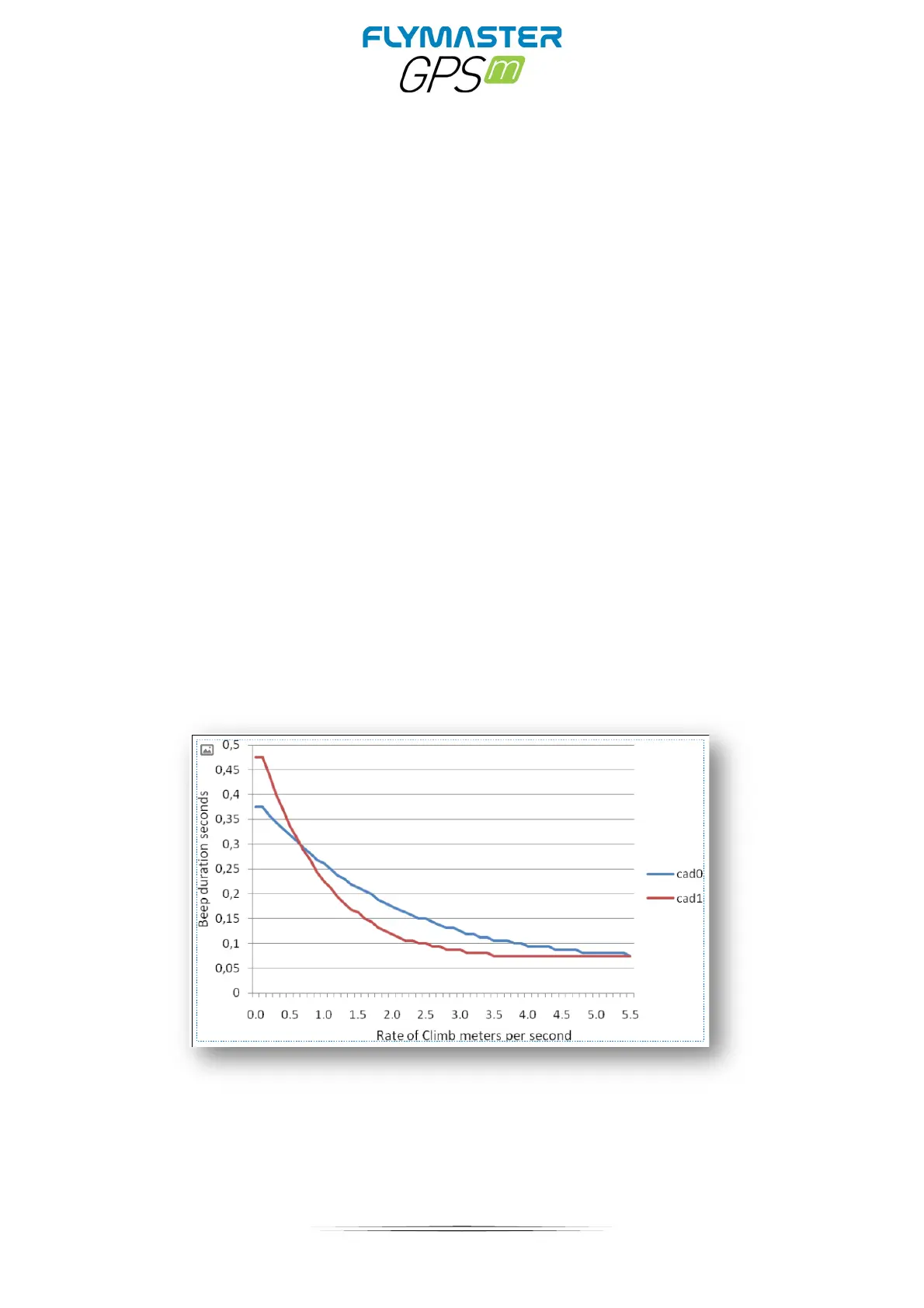
Cadence - When a rate of climb is higher than that specified by the Climb threshold the GPS M
creates a beeping sound. The rate (cadence) of the beeps increases as the climb rate increases.
This increase in rate is not linear. The cadence parameter specifies which cadence curve should
be used. Current there are 2 possibilities represented in the graph of Figure bellow.
Buzzer - Is so called because of the sound it emits, which resembles a buzzing sound.
The buzzer sound is produced when the rate of climb is close to, but has not yet reached the
specified Climb threshold. This value is set between 0 and 9 with each unit corresponding to be 0.1
m/s, ie. 3 is 0.3m/s. Subtracting this decimal value from the climb threshold will give us the value

Table of Contents

Related product manuals