EasyManua.ls Logo

Fronius Symo 5.0-3-M - Error Search Tree; General; Permanent Error

Fronius Symo 5.0-3-M
128 pages
Go to English
Print Icon
To Next Page IconTo Next Page
To Next Page IconTo Next Page
To Previous Page IconTo Previous Page
To Previous Page IconTo Previous Page
Loading...
76
Error search tree
General The error search tree is used to systematically find and correct errors.
Before starting troubleshooting, first read the "Function Overview" chapter to understand
the design and function of the device.
Required system data:
- Inverter type
- Serial number of the installed inverter
- Service code shown on the display (state PS menu)
- Name of PV system (name of system operator)
- System duration of operation
- System location
- Number of inverters installed in the system (type, serial number)
- DC and AC voltage
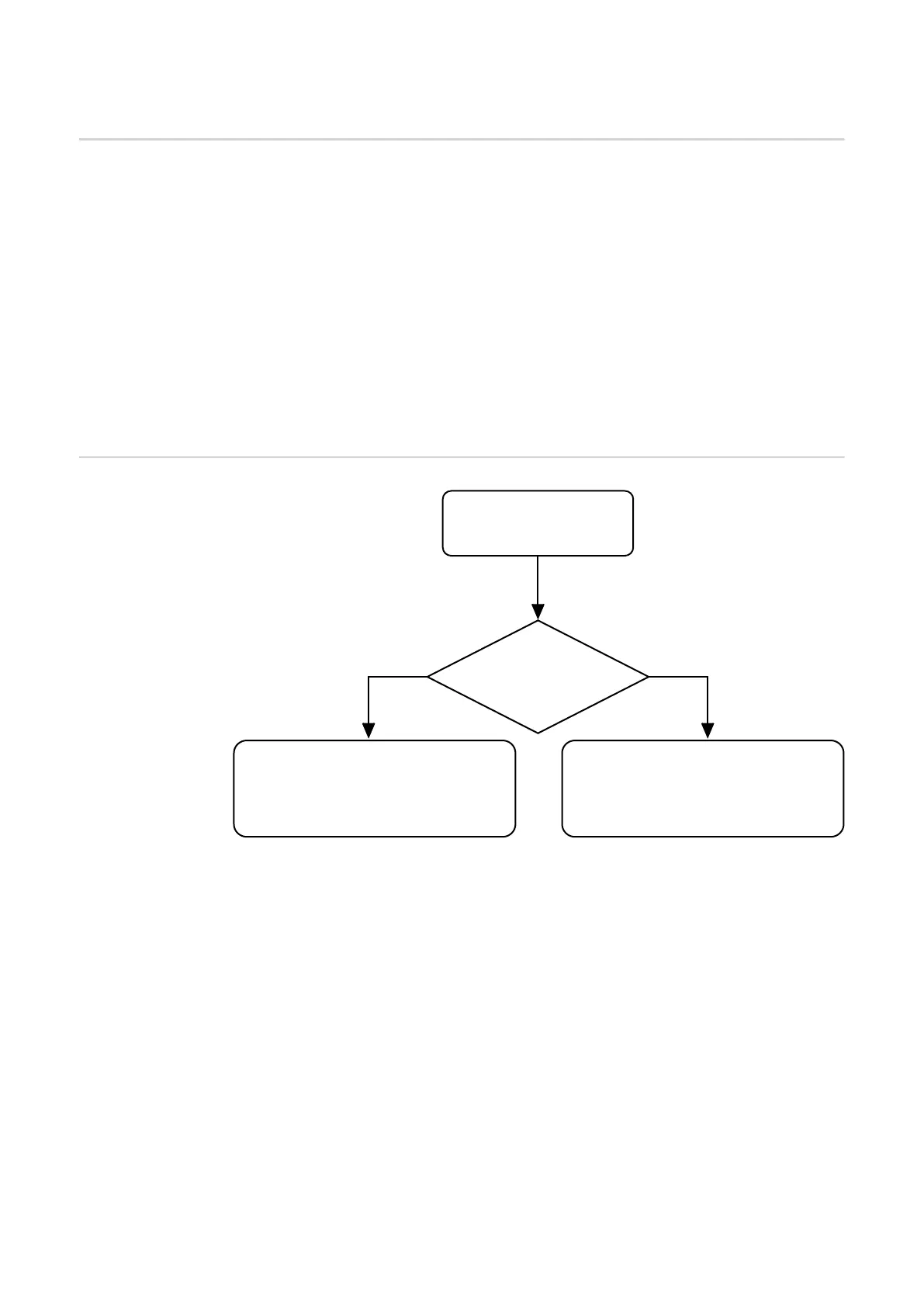
Permanent error
When does the error
occur?
Inverter error unlikely
(check grid, solar modules) -
See Fronius service code for details
List
Inverter error unlikely
(PC board / inverter must be repaired)
See Fronius service for details
code list
Are other devices also
showing the error?
YES NO

Table of Contents

Other manuals for Fronius Symo 5.0-3-M

Related product manuals