EasyManua.ls Logo

Highlight PREDATOR XS - Page 58

Highlight PREDATOR XS
97 pages
Print Icon
To Next Page IconTo Next Page
To Next Page IconTo Next Page
To Previous Page IconTo Previous Page
To Previous Page IconTo Previous Page
Loading...
PREDATOR XS TURNTABLE STRETCH WRAPPER OPERATION MANUAL
HIGHLIGHT INDUSTRIES, INC. ● 2694 PRAIRIE SW; WYOMING; MI 49519 ● 1-800-531-2465
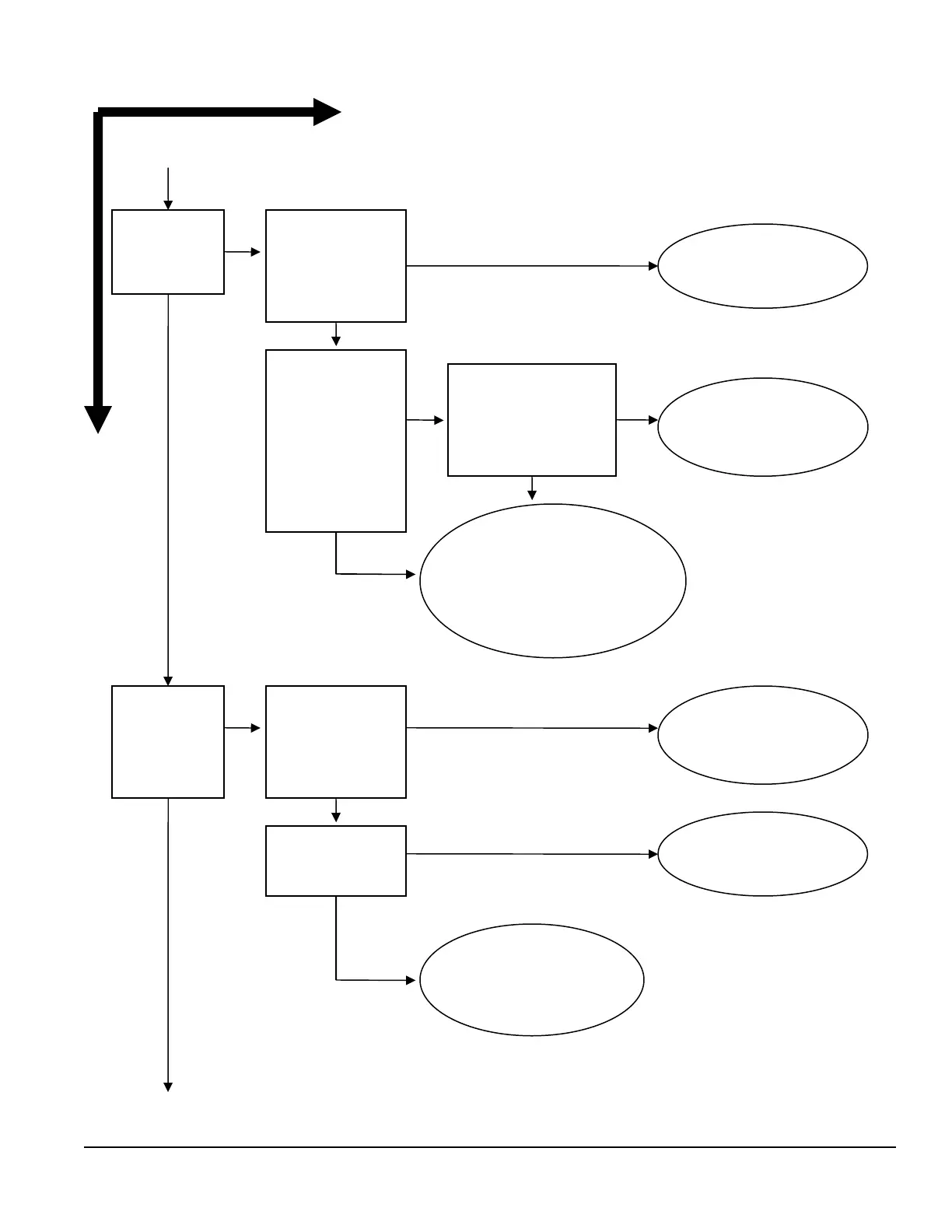
V-7
NO
YES
Continued to page V-8
Continued from page V-6
In a wrapping
cycle, does
the carriage
raise?
Locate the product
height detection
photoelectric
sensor.
Does it “see” the
product?
Adjust the sensitivity
of the sensor.
Locate the
turntable home
proximity switch or
photo sensor input
to the PLC. Does
the indicator light
turn on as the
turntable passes
the home
position?
Clear obstructions and
adjust sensor to pick
up target. Does the
indicator light turn on
as the turntable passes
the home position?
Tighten power wiring
to the sensor,
replace if necessary.
Check conditions of the
film carriage frequency
drive, potentiometer dials,
and limit switch as detailed
above. Intermittent problem
may occur. Repeat cycle.
In a wrapping
cycle, does
the carriage
stop at the
top of the
product?
Locate the film
carriage product
height detection
photo sensor.
Does it have
power?
Does the sensor
“see” objects other
than the product?
Adjust the sensitivity
of the sensor.
Tighten power wiring
to the sensor,
replace if necessary.
Adjust the product
height detection timer
delay on front face of
PLC (pot 0/top).

Table of Contents

Related product manuals