EasyManua.ls Logo

Highlight PREDATOR XS - Page 61

Highlight PREDATOR XS
97 pages
Print Icon
To Next Page IconTo Next Page
To Next Page IconTo Next Page
To Previous Page IconTo Previous Page
To Previous Page IconTo Previous Page
Loading...
PREDATOR XS TURNTABLE STRETCH WRAPPER OPERATION MANUAL
HIGHLIGHT INDUSTRIES, INC. ● 2694 PRAIRIE SW; WYOMING; MI 49519 ● 1-800-531-2465
V-10
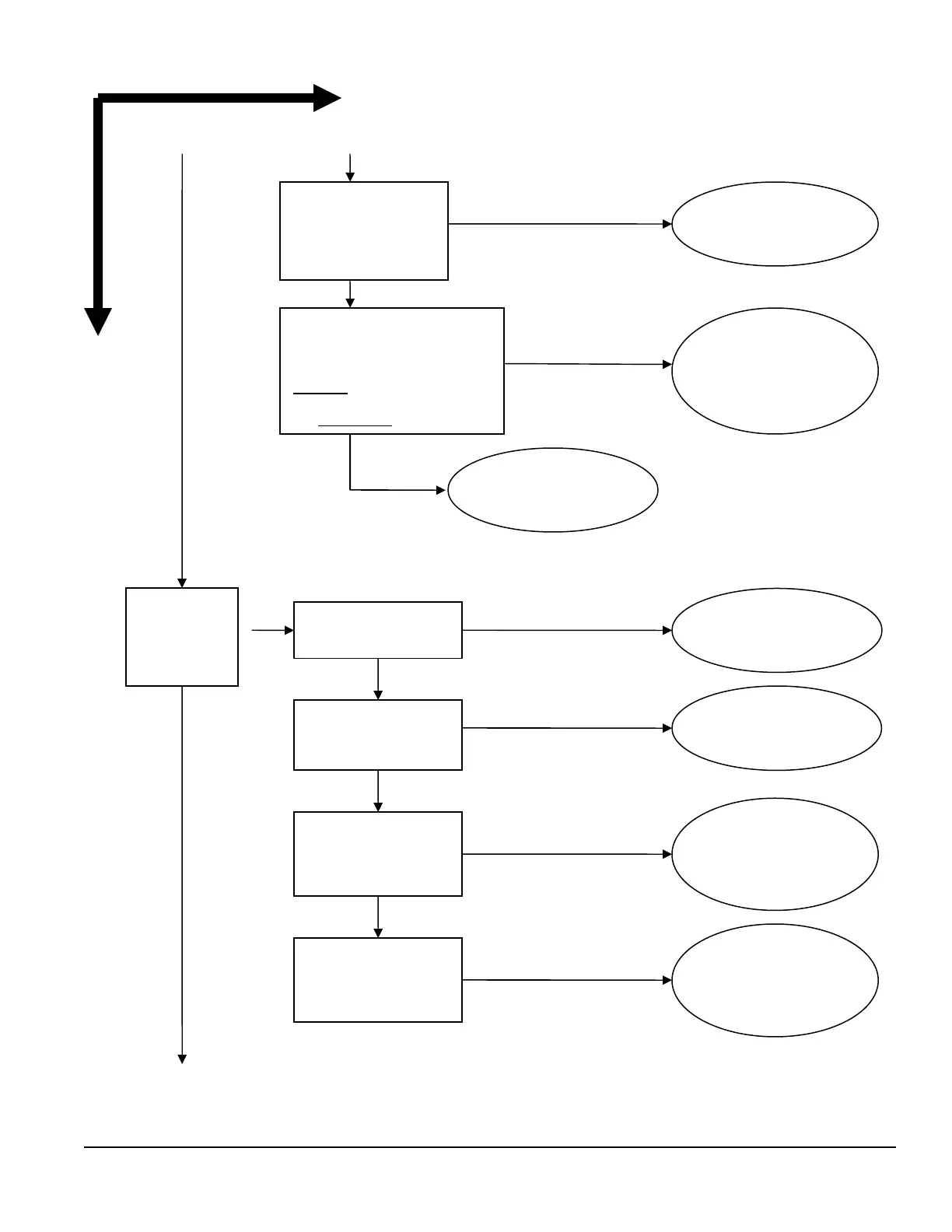
NO
YES
Continued from page V-9
At cycle start,
does the film
stay attached
to the
product?
Is the film in good
condition (i.e. no holes
or snags)?
Use proper film.
Refer to Film
Loading Diagram.
Is the acceleration
parameter on the film
delivery frequency
drive set properly?
Restore parameters
as listed on the
electrical
schematics.
Is the acceleration
parameter on the
turntable frequency
drive set properly?
Restore parameters
as listed on the
electrical
schematics.
Continued to page V-11
Is the film threaded
correctly?
Remove the film delivery motor
wires off the frequency drive;
connect them to the turntable
frequency drive. Run the
turntable manually using the jog
button on the operator panel. Is
the film delivery motor running?
Replace the film
delivery frequency
drive.
Check film carriage
motor for
mechanical
restrictions. Replace
if necessary.
Perform Film Feed
Controller Card test as
described in Chapter
2. Is the card function
properly?
Replace the film
feed controller card.

Table of Contents

Related product manuals