EasyManua.ls Logo

Highlight PREDATOR XS - Page 62

Highlight PREDATOR XS
97 pages
Print Icon
To Next Page IconTo Next Page
To Next Page IconTo Next Page
To Previous Page IconTo Previous Page
To Previous Page IconTo Previous Page
Loading...
PREDATOR XS TURNTABLE STRETCH WRAPPER OPERATION MANUAL
HIGHLIGHT INDUSTRIES, INC. ● 2694 PRAIRIE SW; WYOMING; MI 49519 ● 1-800-531-2465
V-11
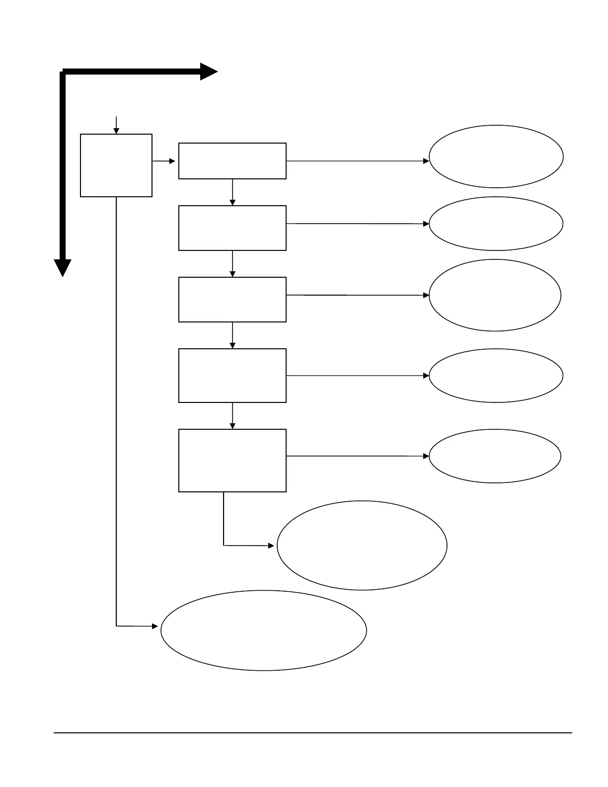
NO
YES
Continued from page V-10
In a wrapping
cycle, does
the film stay
attached to
the product?
Is the film threaded
correctly?
Is the film in good
condition (i.e. no holes
or snags)?
Use proper film.
Refer to Film
Loading Diagram.
Is the “Film Force” dial
on the operator panel
set correctly?
Make small
adjustment at a time
to set the film force.
Tighten wiring,
replace dial if
necessary.
Use a voltmeter to test
resistance of the
potentiometers. Is it
reading 5K across?
Perform Film Feed
Controller Card test as
described in Chapter
2. Is the card function
properly?
Replace the film
feed controller card.
Check conditions of the film
delivery frequency drive
and limit switch as detailed
above. Intermittent problem
may occur. Repeat cycle.
Film delivery is functioning
normally.
Turntable Problems: pg. V-3
Film Carriage Problems
: pg. V
-
5

Table of Contents

Related product manuals