EasyManua.ls Logo

Jandy VS FloPro - Curvas de Rendimiento

Jandy VS FloPro
84 pages
Print Icon
To Next Page IconTo Next Page
To Next Page IconTo Next Page
To Previous Page IconTo Previous Page
To Previous Page IconTo Previous Page
Loading...
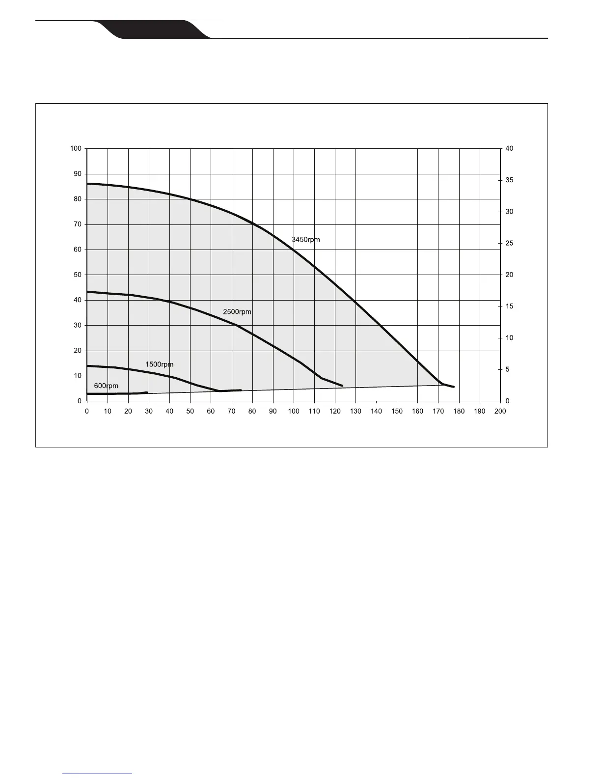
7.2 Curvas de rendimiento
Bomba Jandy series FloPro
Rendimiento VS-FHP2.0
Tasa de ujo, galones por minuto, (GPM)
Totales de cabecera, (pies de agua)
Libras por pulgada (PSI)
Página 80
Jandy
®
FloPro™ Bomba de velocidad variable series VS-FHP
|
Manual de instalación y operación
ESPAÑOL

Table of Contents

Related product manuals