EasyManua.ls Logo

Lust SMARTDRIVE VF1205M - Overload Protection

Default Icon
78 pages
To Next Page IconTo Next Page
To Next Page IconTo Next Page
To Previous Page IconTo Previous Page
To Previous Page IconTo Previous Page
Loading...
3-3
Support:
If contrary to expectations, you should have difficulties when starting up
the frequency inverter, we are only to glad to be of assistance with practical
help and advice. You can reach our trained technicians as follows:
Address: Lust Antriebstechnik GmbH
Gewerbestraße 5-9
D-35633 Lahnau
Phone: + 49 64 41 966 111
Fax: + 49 64 41 966 137
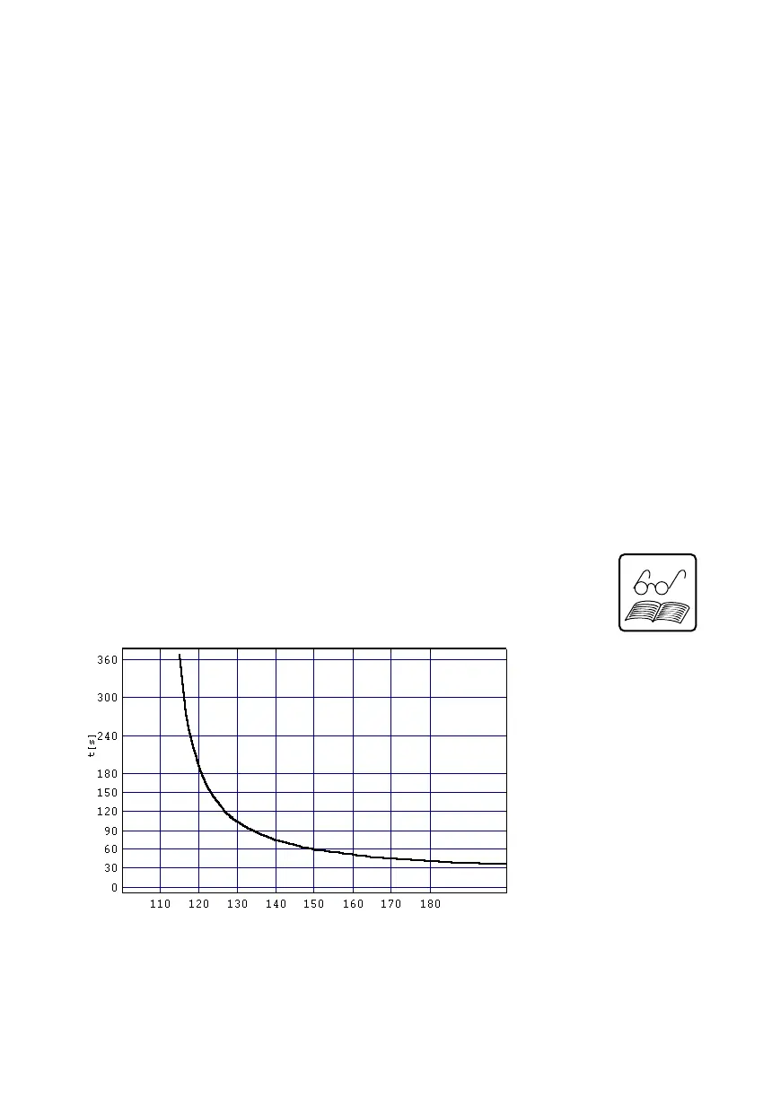
3.4 Motor/inverter-overload protection (I
t monitoring)
The It monitoring provides electronic motor protection and inverter protection
against high thermal loading. The trigger characteristic can be taken from
the diagram. The details relate to an output frequency of 50 Hz.
It should be noted that with continuous operation with frequencies
< 40 Hz the motor requires forced ventilation.
Rule of thumb:
An overload phase of 1 min. is possible within a margin of 10 min.s with
a DC current of I = 1,5I
N
(150% overload)
Diagram:
I[ % of TRIP]

Related product manuals