EasyManua.ls Logo

Marantz MR2020 - Program Timer Adjustment

Marantz MR2020
68 pages
Print Icon
To Next Page IconTo Next Page
To Next Page IconTo Next Page
To Previous Page IconTo Previous Page
To Previous Page IconTo Previous Page
Loading...
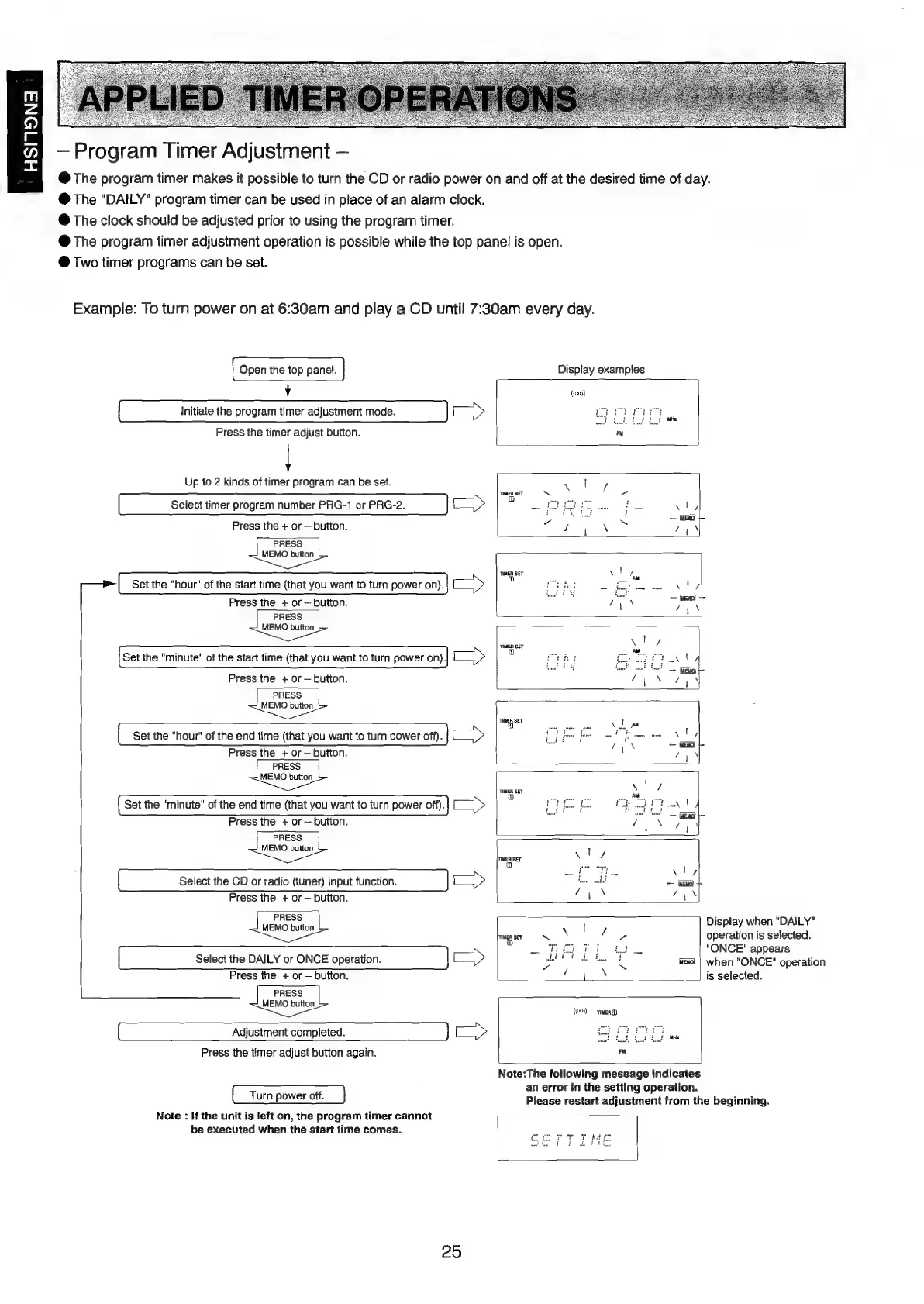
Program
Timer
Adjustment
@
The
program
timer
makes
it
possible
to
turn
the
CD
or
radio
power
on
and
off
at
the
desired
time
of
day.
@
The
"DAILY"
program
timer
can
be
used
in
place
of
an
alarm
clock.
@
The
clock
should
be
adjusted
prior
to
using
the
program
timer.
@
The
program
timer
adjustment
operation
is
possible
while
the
top
panel
is
open.
@
Two
timer
programs
can
be
set.
HSINONSA
Example:
To
turn
power
on
at
6:30am
and
play
a
CD
until
7:30am
every
day.
Open
the
top
panel.
Display
examples
Y
(ron)
Initiate
the
program
timer
adjustment
mode.
>
Press
the
timer
adjust
button.
!
Up
to
2
kinds
of
timer
program
can
be
set.
TMER
SET
Select
timer
program
number
PRG-1
or
PRG-2.
a
-
Press
the
+
or
button.
PRESS
MEMO
button
Set
the
"hour"
of
the
start
time
(that
you
want
to
turn
power
on),}
[>
Press
the
+
or
button.
PRESS
SS
MEMO
button
Set
the
"minute"
of
the
start
time
(that
you
want
to
turn
power
on).
i=»
TER
SET
a
Press
the
+
or
button.
PRESS
MEMO
button
|
uae
Per
Set
the
"hour"
of
the
end
time
(that
you
want
to
turn
power
off).
=
Press
the
+
or
button.
PRESS
MEMO
button
‘THIER
SET
iri}
Set
the
“minute"
of
the
end
time
(that
you
want
to
turn
power
off).
>
Press
the
+
or
--
button,
PRESS
MEMO
button
t
|
Select
the
CD
or
radio
(tuner)
input
function.
>
~
mot
Press
the
+
or
button.
om
PRESS
;
t 1
feat
patton
Display
when
"DAILY
operation
is
selected.
Sane
"ONCE"
appears
when
“ONCE"
operation
is
selected.
Select
the
DAILY
or
ONCE
operation.
wae
Press
the
+
or
button.
PRESS
MEMO
button
(vor)
Mer
Adjustment
completed.
>
Press
the
timer
adjust
button
again.
»
Note:The
following
message
indicates
an
error
in
the
setting
operation.
Please
restart
adjustment
from
the
beginning.
Note
:
If
the
unit
is
left
on,
the
program
timer
cannot
be
executed
when
the
start
time
comes.
|
25

Table of Contents

Other manuals for Marantz MR2020

Related product manuals