EasyManua.ls Logo

Netafim NMC PRO CLIMATE - Page 34

Netafim NMC PRO CLIMATE
44 pages
Print Icon
To Next Page IconTo Next Page
To Next Page IconTo Next Page
To Previous Page IconTo Previous Page
To Previous Page IconTo Previous Page
Loading...
NMC-PRO
INSTALLATION GUIDE
Doc.Name:NMCPRO׀InstallationManual Revision:2 Page:32
Cro
p
Mana
g
ementTechnolo
g
ies
HeatingNetworkP&ITuningprocess
NMC Pro attempts to keep the greenhouse temperature close to the set point entered by the
user (Heating Program-Parameter # 1.3.4). To do this, the controller receives feedback from
the temperature sensors and continuously calculates and adjust the output (Open / Close
mixing valve). These calculations are based on the PI algorithm where:
P is the Proportional factor
I is the Integral factor
The P and I factor values range from 0-10.
While installing a heating system with an NMC Climate controller, calibrate the system to
achieve precise control on the Zone temperature.
The P factor determines the system reaction; a higher P lengthens the opening time /
closing time of the mixing valve, which causes faster changes in temperature (both
increases and decreases).
The I factor determines the deviation from the target temperature. It is actually the
accumulated error of the measured temperature from the desired temperature.
The combination of the P and I calibration enable superior system.
Calibrate the system:
when installing
when climate conditions change
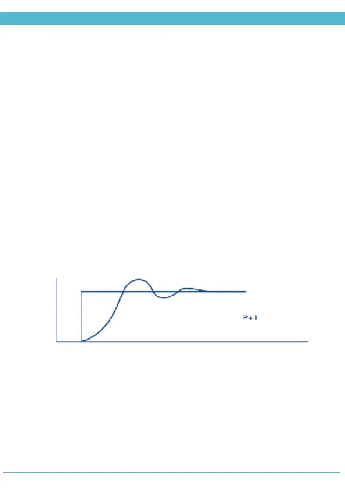
Below is example of a system being calibrated after installation:
Enter the median P and I. P=5, I=1, and Dead band = 3.0 degrease (#1.3.10-11).
Monitor the results of the system for few hours (over night).
According to the results, adjusting the P & I factors:
o Increase or decrease the P and I depending on the overshooting.
Note: Wait until you have sufficient results before adjusting the parameters.
Note:
Whenadjustingtheparameters,raiseordecreasethelevelbyoneunitperdayonly.

Other manuals for Netafim NMC PRO CLIMATE

Related product manuals