EasyManua.ls Logo

Omron Sysdrive RX Series - Appendix-2 Product Life Curve

Omron Sysdrive RX Series
442 pages
Print Icon
To Next Page IconTo Next Page
To Next Page IconTo Next Page
To Previous Page IconTo Previous Page
To Previous Page IconTo Previous Page
Loading...
App-41
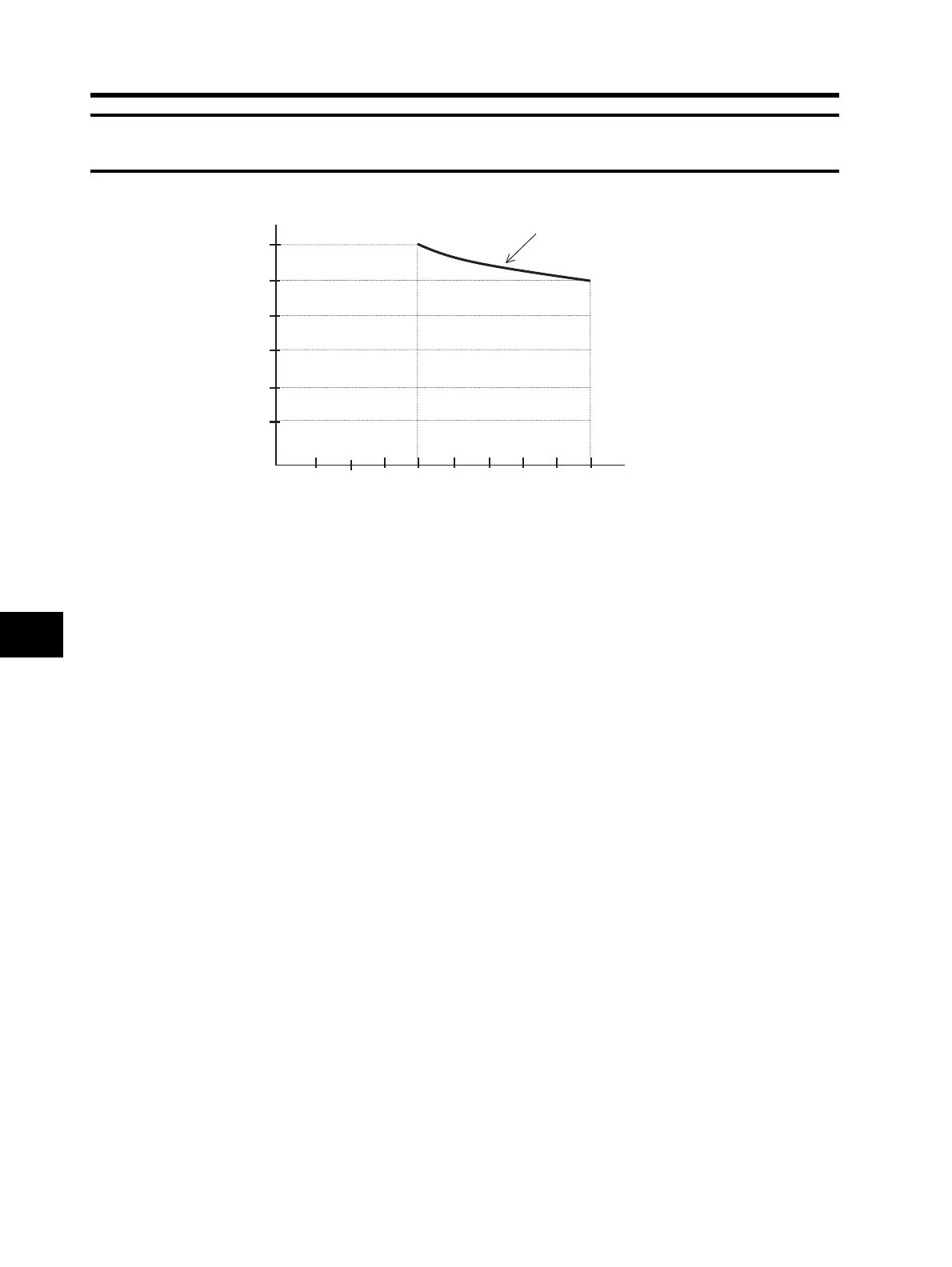
Appendix-2 Product Life Curve
Appendix
Appendix-2 Product Life Curve
Note 1: Ambient temperature refers to the temperature measured at the location approximately 5 cm from
the bottom center of the Inverter. (atmospheric temperature)
It refers to the temperature inside if the Inverter is stored in an enclosure.
Note 2: The smoothing capacitor, which will deteriorate because of the chemical reaction caused by the
temperatures of the parts, should normally be replaced once every 10 years (which is the expected
design life, and not guaranteed).
However, if the ambient temperature is high, or the Inverter is used with a current exceeding the
rated current, for example, under overload conditions, its life will be significantly shortened.
Ambient temperature (°C)
50
40
30
20
10
0
-10
12
3
45678910
Capacitor life (year)
24-hour power supply/day

Table of Contents