EasyManua.ls Logo

Quantum ProDrive 40S - 5.9 READING AND WRITING

Quantum ProDrive 40S
128 pages
Print Icon
To Next Page IconTo Next Page
To Next Page IconTo Next Page
To Previous Page IconTo Previous Page
To Previous Page IconTo Previous Page
Loading...
Section 5
SCSI Programming Guidelines
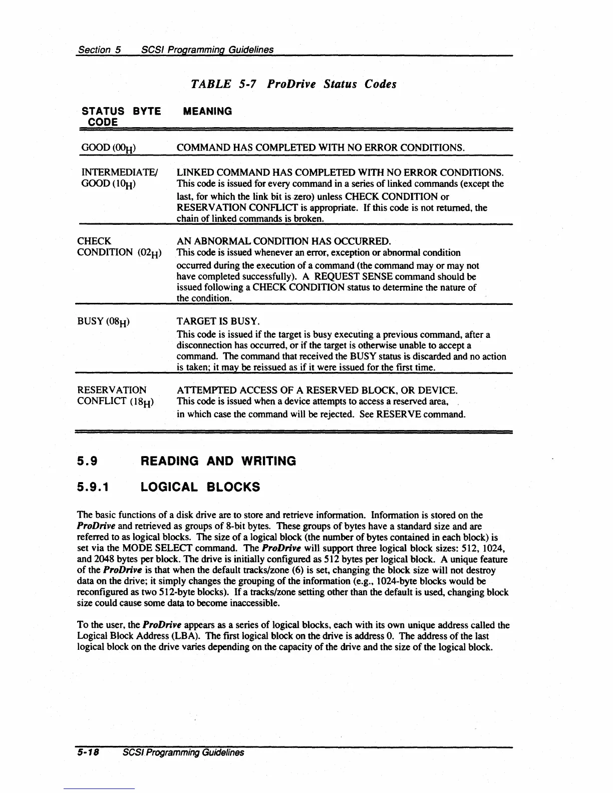
STATUS
BYTE
CODE
GOOD(OOfI}
INTER MEDIA TEl
GOOD(1~}
CHECK
CONDITION (02H)
RESERVATION
CONFLICT
(18H)
TABLE 5-7 ProDrive Status Codes
MEANING
COMMAND HAS COMPLETED WITH NO ERROR CONDITIONS.
LINKED COMMAND HAS COMPLETED WITH NO ERROR CONDITIONS.
This code is issued for every command in a series
of
linked commands (except the
last, for which the link bit is ,zero) unless CHECK CONDITION
or
RESERV A TION CONFLICT is appropriate.
If
this code is not returned, the
chain
of
linked commands is broken.
AN
ABNORMAL CONDITION HAS OCCURRED.
This code is issued whenever an error, exception
or
abnormal condition
occurred during the execution
of
a command (the command
mayor
may not
have completed successfully). A
REQUEST SENSE command should
be
issued following a CHECK CONDITION status to determine the nature
of
the condition.
TARGET IS BUSY.
This code is issued
if
the target is busy executing a previous command, after a
disconnection has occurred,
or
if the target is otherwise unable to accept a
command. The command that received the
BUSY status is discarded and no action
is taken; it may
be
reissued as if it were issued for the first time.
ATTEMPTED ACCESS
OF
A RESERVED BLOCK,
OR
DEVICE.
This code is issued when a device attempts to access a reserved area,
in which case the command will
be
rejected. See RESERVE command.
5.9
READING
AND
WRITING
5.9.1
LOGICAL BLOCKS
The basic functions
of
a disk drive are to store and retrieve information. Information is stored on the
ProDrive and retrieved as groups
of
8-bit bytes. These groups
of
bytes have a standard size and are
referred to as logical blocks. The size
of
a logical block (the number
of
bytes contained in each block) is
set via the
MODE SELECT command. The ProDrive will support three logical block sizes: 512, 1024,
and
2048 bytes per block. The drive is initially configured as 512 bytes per logical block. A unique feature
of
the ProDrive is that when the default tracks/zone (6) is set. changing the block size will not destroy
data
on
the drive; it simply changes the grouping
of
the information (e.g
.•
1024-byte blocks would
be
reconfigured as two 512-byte blocks).
If
a tracks/zone setting other than the default is used, changing block
size could cause some data to become inaccessible.
To
the user, the ProDrive appears as a series
of
logical blocks. each with its own unique address called the
Logical Block Address (LBA). The first logical block
on
the drive is address
O.
The address
of
the last
logical block
on
the drive varies depending on the capacity
of
the drive and the size
of
the logical block.
5-18
SCSI Programming Guidelines

Table of Contents