EasyManua.ls Logo

Quantum ProDrive 40S - Page 67

Quantum ProDrive 40S
128 pages
Print Icon
To Next Page IconTo Next Page
To Next Page IconTo Next Page
To Previous Page IconTo Previous Page
To Previous Page IconTo Previous Page
Loading...
Sense
Key
(bex)
5
6
Section 5
SCSI Programming Guidelines
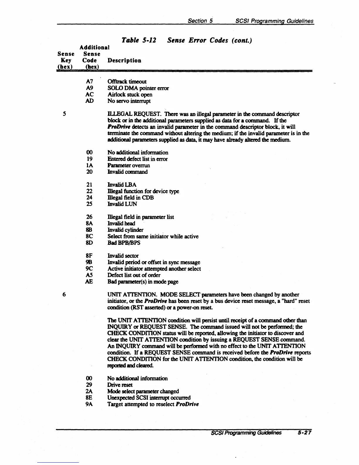
Table 5-12 Sense
E"or
Codes
(cont.)
Additional
Sense
Code
Description
(bex)
A7
A9
AC
AD
00
19
lA
20
21
22
24
2S
26
8A
8B
8C
8D
8F
9B
9C
AS
AE
Offtrack timeout
SOLO DMA pointer error
Airlock stuck open
No servo
intelTUpt
ILLEGAL
REQUEST. There was
an·
illegal parameter in the command descriptor
block or
in
the
additional parameters supplied as data for a command.
If
the
rroDrive detects
an
invalid parameter in the command descriptor block, it will
terminate the command without altering
the
medium;
if
the invalid parameter is in the
additional parameters supplied as
data, it
may
have already altered the medium.
No additional infonnation
Entered
defect list
in
error
Parameter
overrun
Invalid
command
InvalidLBA
Dlegal
function for device type
mega! field in
COB
InvalidLUN
megal field
in parameter list
Invalid
head
Invalid
cylinder
Select
from
same
initiator while active
Bad
BPBIBPS
Invalid sector
Invalid
period
or
offset in sync message
Active initiator attempted another select
Defect list out
of
order
Bad
parameter(s)
in
mode
page
UNIT A1TENTION. MODE SELECT parameters have been changed
by
another
initiator, or the
ProDrive
bas
been reset
by
a bus device reset message, a "hard" reset
condition
(RST asserted) or a power-on reset
The
UNIT
A 1TENTION condition will persist until n:ceipt
of
a command other than
INQUIRY
or REQUEST SENSE.
The
command issued will
not
be
perfonned; the
CHECK
CONDmON
status
will
be
~
allowing the initiator to discover and
clear
the
UNIT
A 1TENTION condition
by
issuing a REQUEST SENSE command.
An
INQUIRY command will be performed with no effect to
the
UNIT
A1TENTION
condition.
If
a REQUEST SENSE
command
is received before the
ProDrive
reports
CHECK
CONDmON
for the
UNIT
A TIENTION condition, the condition will
be
JqJOIted
and
cleared.
00 No additional infonnation
29
Drive reset
2A
Mode
select
parameter
changed
8E
Unexpected
SCSI
interrupt occmred
9A Target attempted to reselect
ProDrlve
SCSI
Programming
Guidelines
5·27

Table of Contents