EasyManua.ls Logo

Raven AccuFlow - Page 34

Raven AccuFlow
90 pages
Print Icon
To Next Page IconTo Next Page
To Next Page IconTo Next Page
To Previous Page IconTo Previous Page
To Previous Page IconTo Previous Page
Loading...
Chapter 4
30 AccuFlow™ and AccuFlow HP™ Installation & Operation Manual
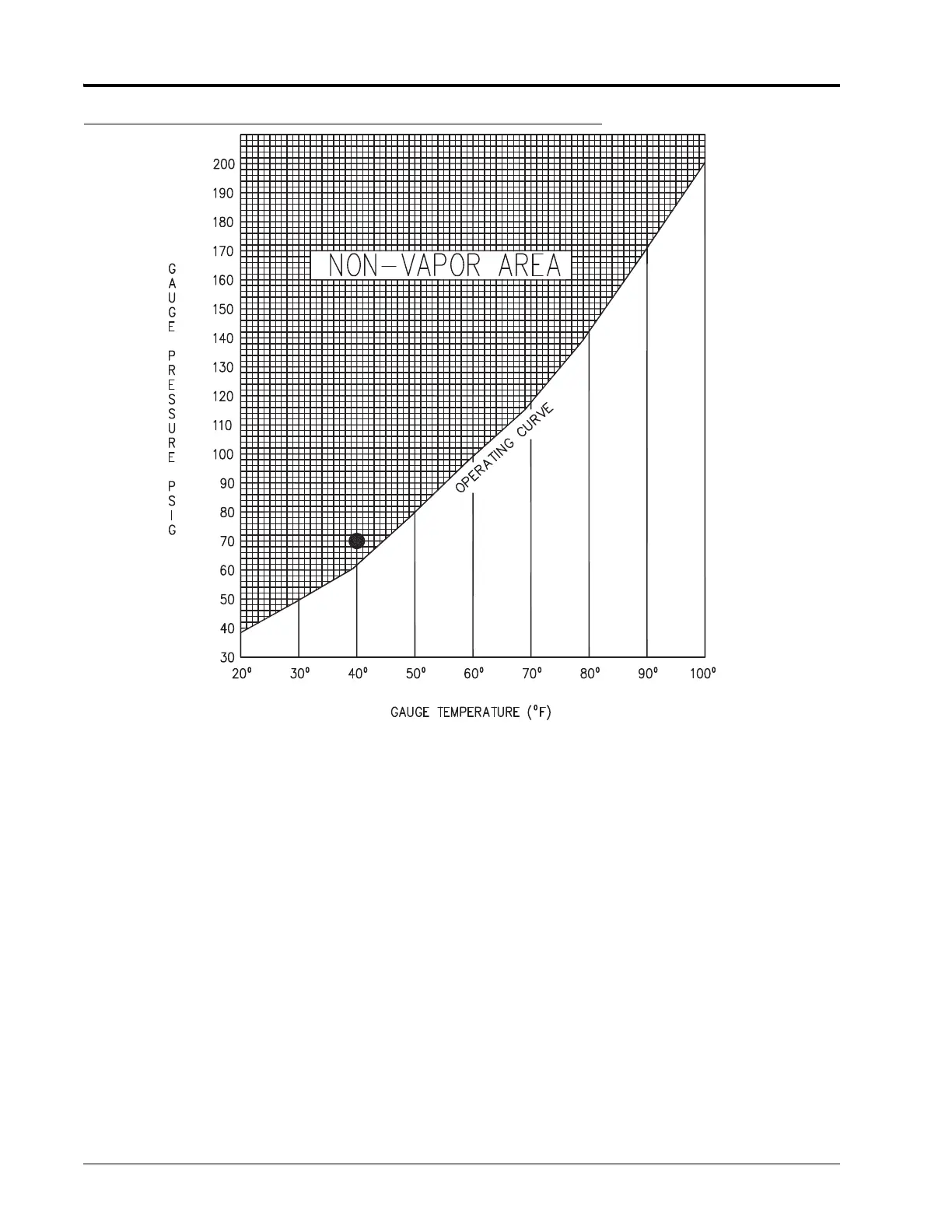
FIGURE 2. Pressure vs. Temperature Chart

Table of Contents

Related product manuals