EasyManua.ls Logo

Rosemount 3491 - Page 64

Rosemount 3491
152 pages
Print Icon
To Next Page IconTo Next Page
To Next Page IconTo Next Page
To Previous Page IconTo Previous Page
To Previous Page IconTo Previous Page
Loading...
Reference Manual
00809-0100-4841, Rev. AA
May 2007
Rosemount 3490 Series
4-32
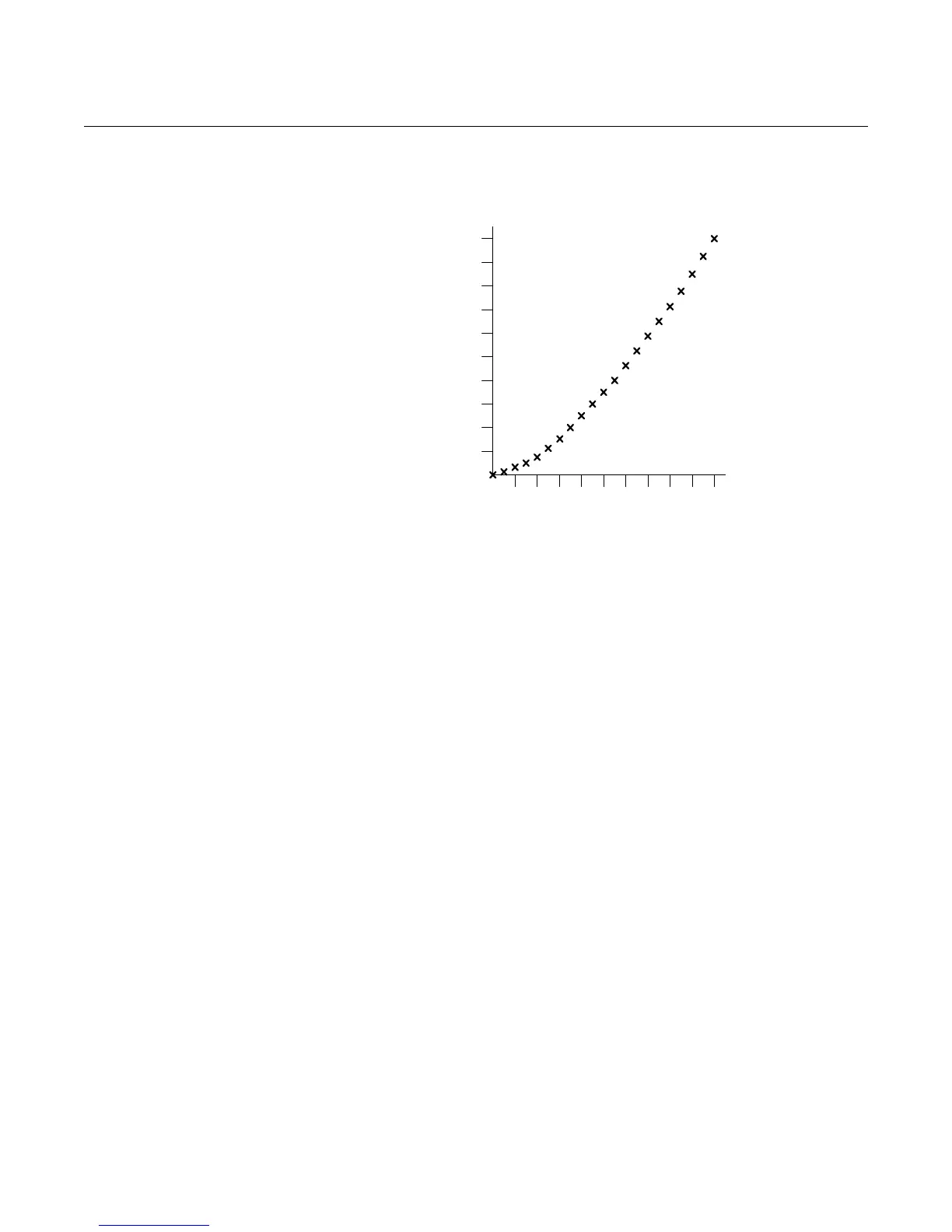
Figure 4-23. P115 = 3490
Plotted Profile for "Flume (3/2)"
0.1
0.2
0.3
0.4
0.5
0.6
0.7
0.8
0.9
1.0
0.1 0.2 0.3 0.4 0.5 0.6 0.7 0.8 0.9 1.0
0.0
Y
X
Normalised units (range 0 to 1)
P115 = Plotted Profile for “Flume (3/2)”

Table of Contents