EasyManua.ls Logo

Sanyo PLC-XU116

Sanyo PLC-XU116
399 pages
To Next Page IconTo Next Page
To Next Page IconTo Next Page
To Previous Page IconTo Previous Page
To Previous Page IconTo Previous Page
Loading...
80
Chapter 7 Controlling the projector
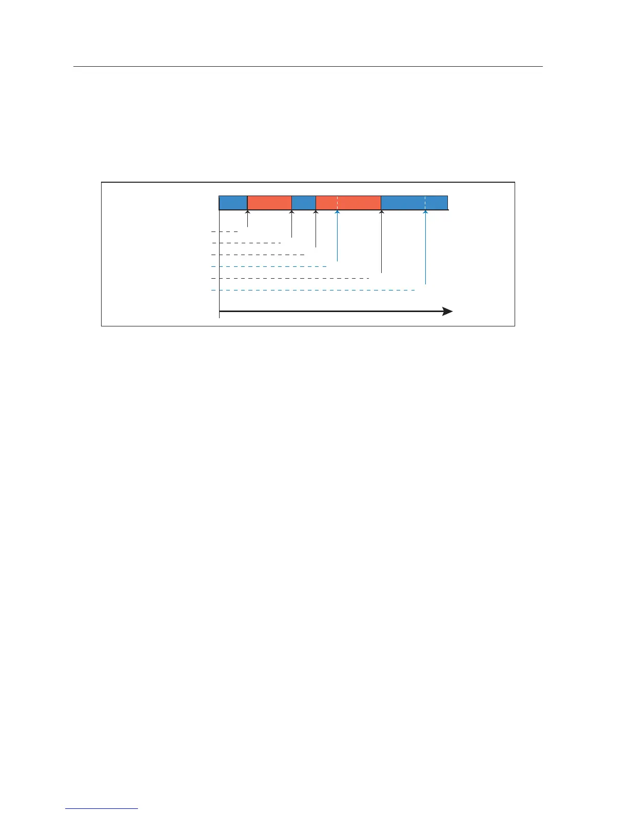
Notes on timer setting
Up to 10 timer events can be registered. Timer events always operate according to the next valid event depending
on the projector's power status. In the example below, event 3 turns on the projector so next event 4 (also turning
on projector) will not be effective because the projector is already turned on. Similarly, when the projector is
turned off by event 5, event 6 OFF will not be effective in turning it off again. But these secondary events (event 4
and event 6) will become effective if a person turns off the projector (after event 3 and before event 4) or turns on
the projector (after event 5 and before event 6).
Event 1 ON
Event 2
OFF
Event 3
ON
Event 4
ON
Event 5
OFF
Event 6
OFF
Projector Power
ON
OFF OFF OFF
ON
Invalid event Invalid event
Time
When the timer events are set at the same time, the last event set will override the previous events. For example,
if there is an event like "ON at 8:00 everyday" and then new event is set like "OFF at 8:00 everyday", only the last
setting event is effective.
When the timer event ON occurs during cooling down period, this is invalid event because the projector cannot be
turned on during that cooling down period.

Table of Contents

Other manuals for Sanyo PLC-XU116

Related product manuals