EasyManua.ls Logo

Siemens Milltronics BW500 - Page 96

Siemens Milltronics BW500
220 pages
Print Icon
To Next Page IconTo Next Page
To Next Page IconTo Next Page
To Previous Page IconTo Previous Page
To Previous Page IconTo Previous Page
Loading...
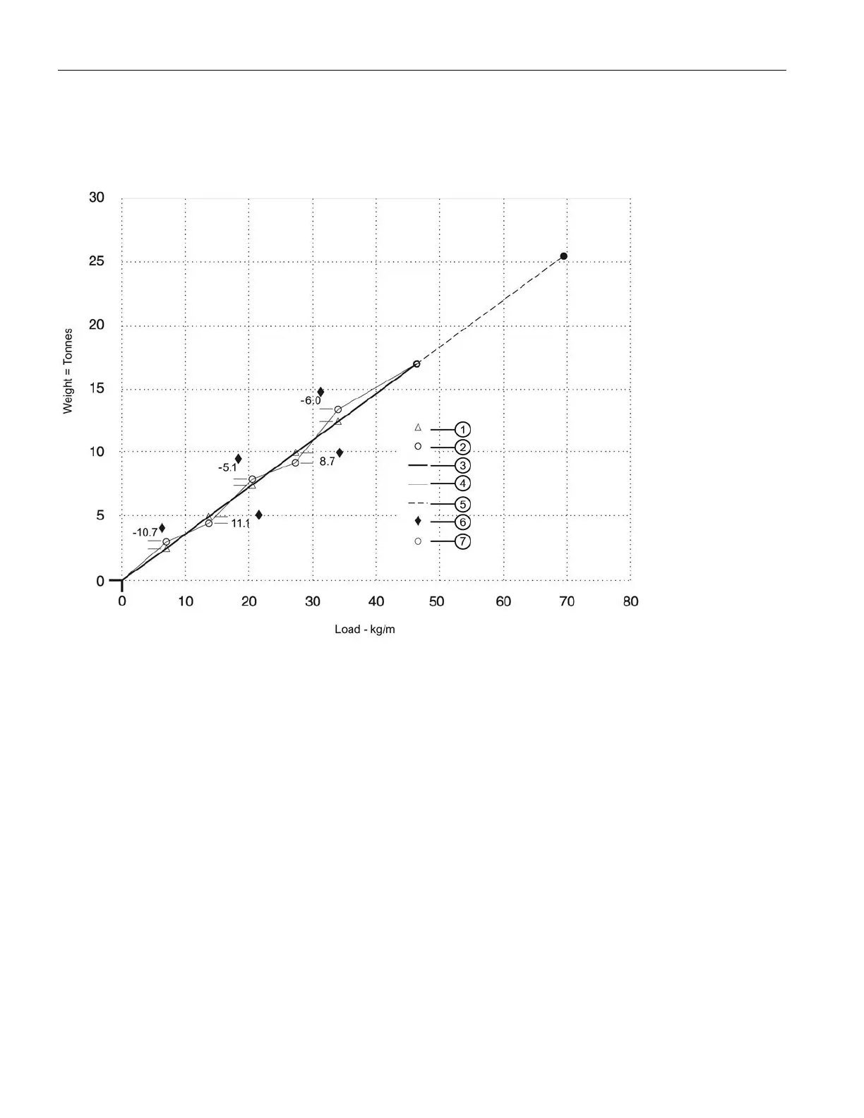
Recalibration
7.7 Linearization
BW500 and BW500/L
94 Operating Instructions, 12/2016, A5E33482052-AD
Actual weight per material test
Totalized weight by BW500
Belt scale response
Linearized BW500 response
Internal response 100% - 150% of span
% compensation
Span (100%)

Table of Contents

Other manuals for Siemens Milltronics BW500

Related product manuals