EasyManua.ls Logo

Sony Ericsson GM47 - GM47;GM48 Modules Overview; About the GM47;GM48 Module Family

Sony Ericsson GM47
310 pages
Print Icon
To Next Page IconTo Next Page
To Next Page IconTo Next Page
To Previous Page IconTo Previous Page
To Previous Page IconTo Previous Page
Loading...
GM47/GM48 MODULES
15
LZT 123 7263 R1A
2. GM47/GM48 Modules
2.1 About the GM47/GM48 Family
Two modules make up the family; GM47 and GM48, for use in the
900/1800MHz and 850/1900MHz GSM bands respectively.
Note! As the characteristics of the modules are quite similar, this manual only
refers to the GM48 where a difference exists; by default all other
references are to the GM47.
Theproducts belong to a new generation of SonyEricssonmodules, and
are intended to be used in machine-to-machine applications and man-to-
machine applications. They are used when there is a need to send and
receive data (by SMS, CSD, HSCSD, or GPRS), and make voice calls
over the GSM network.
GM47 modules are not “stand alone devices; they are used as the
engine in an application created by the customer. A typical application,
involves a micro-controller and GM47 module, in which the micro-
controller sends AT commands to the module via an RS232
communications link.
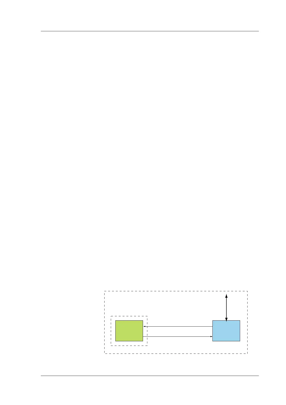
2.2GM47inaCommunicationSystem
Figure 2.1 illustrates the main blocks of a wireless communication
system using the GM47. It also shows the communication principles of
the system. The definitions in the figure, as used elsewhere in this
manual, are in accordance with the recommendations of GSM 07.07.
The MS (mobile station) represents the GM47 module plus SIM
card. The module excluding SIM card, is known as the ME (mobile
equipment).
The TE (terminal equipment) is a micro-controller (i.e., a computer)
and is a part of the application.
Figure 2.1 Main Blocks in a Wireless System
TE
(DTE)
AT commands to control MS
ME status, responses
MS
(GM47)
GSM Network
Application
Wireless Communication System

Table of Contents