EasyManua.ls Logo

Sony GN3UN - Ethernet - no Connect - General Checking

Sony GN3UN
163 pages
Print Icon
To Next Page IconTo Next Page
To Next Page IconTo Next Page
To Previous Page IconTo Previous Page
To Previous Page IconTo Previous Page
Loading...
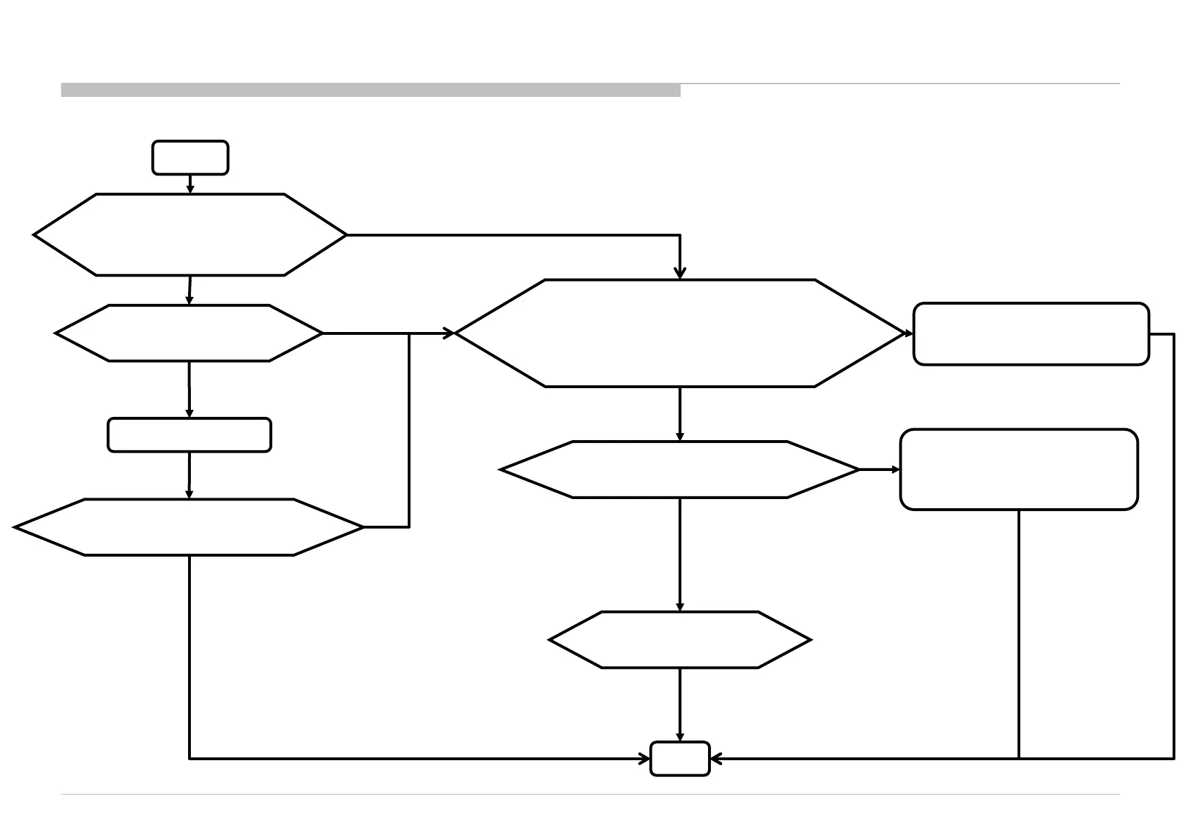
3f.5 Ethernet No Connect General Checking
3f.5 Ethernet
56
TV turn ON condition:
Check if TV has MAC Address
Set-up Network setup
Invalid MAC Address
Change B Board
Yes
Check if the Ethernet
cable is good
Check if any abnormal
or broken point on
Ethernet Connector and parts
(J7000/L7000/RB7000/C7003/RB7015)
OK
Yes
No
NG
Check if TV has good
cable connection
Set-up Network setup
Failed
OK
START
END
Change a good cable
Connector (J7000) and parts NG
Change B Board
T7000 or T7001 or Main IC
(IC5000) NG
Change B Board
Failed
Check TV has connection OK
Set-up Network setup
OK
Failed
56

Table of Contents

Related product manuals