EasyManua.ls Logo

Sony UP-960 - Reserved Switches

Sony UP-960
Print Icon
To Next Page IconTo Next Page
To Next Page IconTo Next Page
To Previous Page IconTo Previous Page
To Previous Page IconTo Previous Page
Loading...
35
3 SHARPNESS switch
SOFT (ON): Normally keep this switch set to this position.
HARD (OFF): Obtains greater sharpness of printouts.
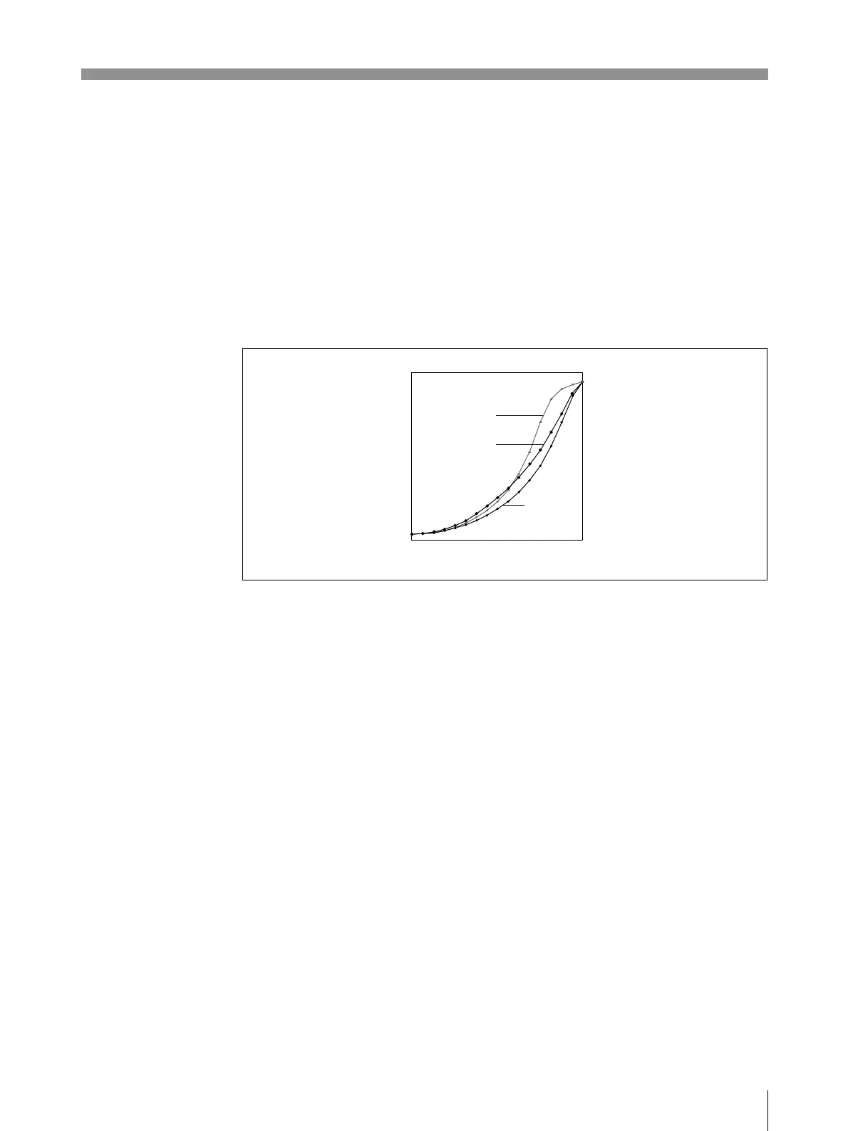
4, 5 GAMMA switch
Sets the printing tone to one of TONE I, TONE II or TONE III.
The diagram below shows the curve of each tone for your reference.
When you set the GAMMA switch 5 to the OFF position (TONE III),
TONE III is selected regardless of the setting of the GAMMA switch 4
position.
6 POSTFEED switch
ON (ON): Feeds out extra blank paper once a picture has been printed.
OFF (OFF): Does not feed out extra blank paper once a picture has been
printed. To save paper by feeding only a short length of paper after printing a
picture, set to this position. You can make more printouts per roll of printing
paper, but you have to feed the paper using the FEED button and tear off the
paper by yourself.
7, 8 RESERVED switches
Keep this switch set to ON.
Preparation
High
Low
Print density
0
255
Gradation
TONE I
TONE II
TONE III

Table of Contents

Other manuals for Sony UP-960

Related product manuals