EasyManua.ls Logo

STIEBEL ELTRON WPF 5 basic - Page 59

STIEBEL ELTRON WPF 5 basic
72 pages
Print Icon
To Next Page IconTo Next Page
To Next Page IconTo Next Page
To Previous Page IconTo Previous Page
To Previous Page IconTo Previous Page
Loading...
INSTALLATION
Specication
www.stiebel-eltron.com WPF basic | 59
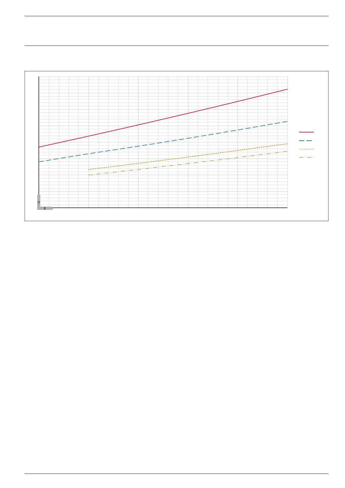
Coefficient of performance WPF 10 basic
0
1
2
3
4
5
6
7
8
-5 0 5 10 15 20
1
2
3
4
D0000022775

Table of Contents

Related product manuals