EasyManua.ls Logo

Valleylab Force 2-2 PCH - Page 31

Valleylab Force 2-2 PCH
74 pages
Print Icon
To Next Page IconTo Next Page
To Next Page IconTo Next Page
To Previous Page IconTo Previous Page
To Previous Page IconTo Previous Page
Loading...
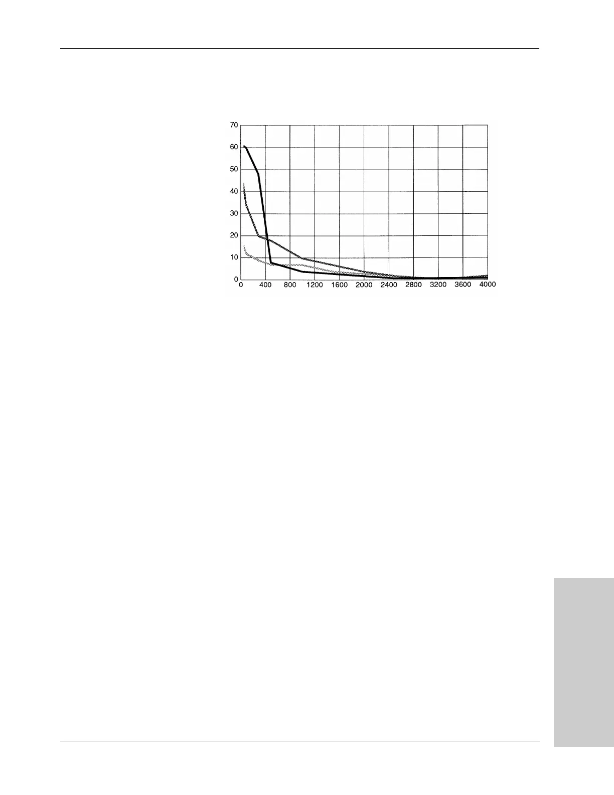
Output Power vs. Impedance Graphs
Technical Specifications
Force 2 Service Manual 4-9
Bipolar measurements are made using bipolar forceps on the insulating
surface referred to in IEC 601-2-2, Figure 104.
Figure 4-4.
PCH Generator Typical Output Power
vs Load—Bipolar Mode
Bipolar
Generator
Power
Setting
Output Power (watts)
Impedance (ohms)
70 W
35 W
15 W

Table of Contents

Related product manuals