EasyManua.ls Logo

VAMP 50 - Page 108

VAMP 50
232 pages
Print Icon
To Next Page IconTo Next Page
To Next Page IconTo Next Page
To Previous Page IconTo Previous Page
To Previous Page IconTo Previous Page
Loading...
2.23 Inverse time operation 2 Protection functions Technical description
108
VAMP 24h support phone +358 (0)20 753 3264 VM50.EN004
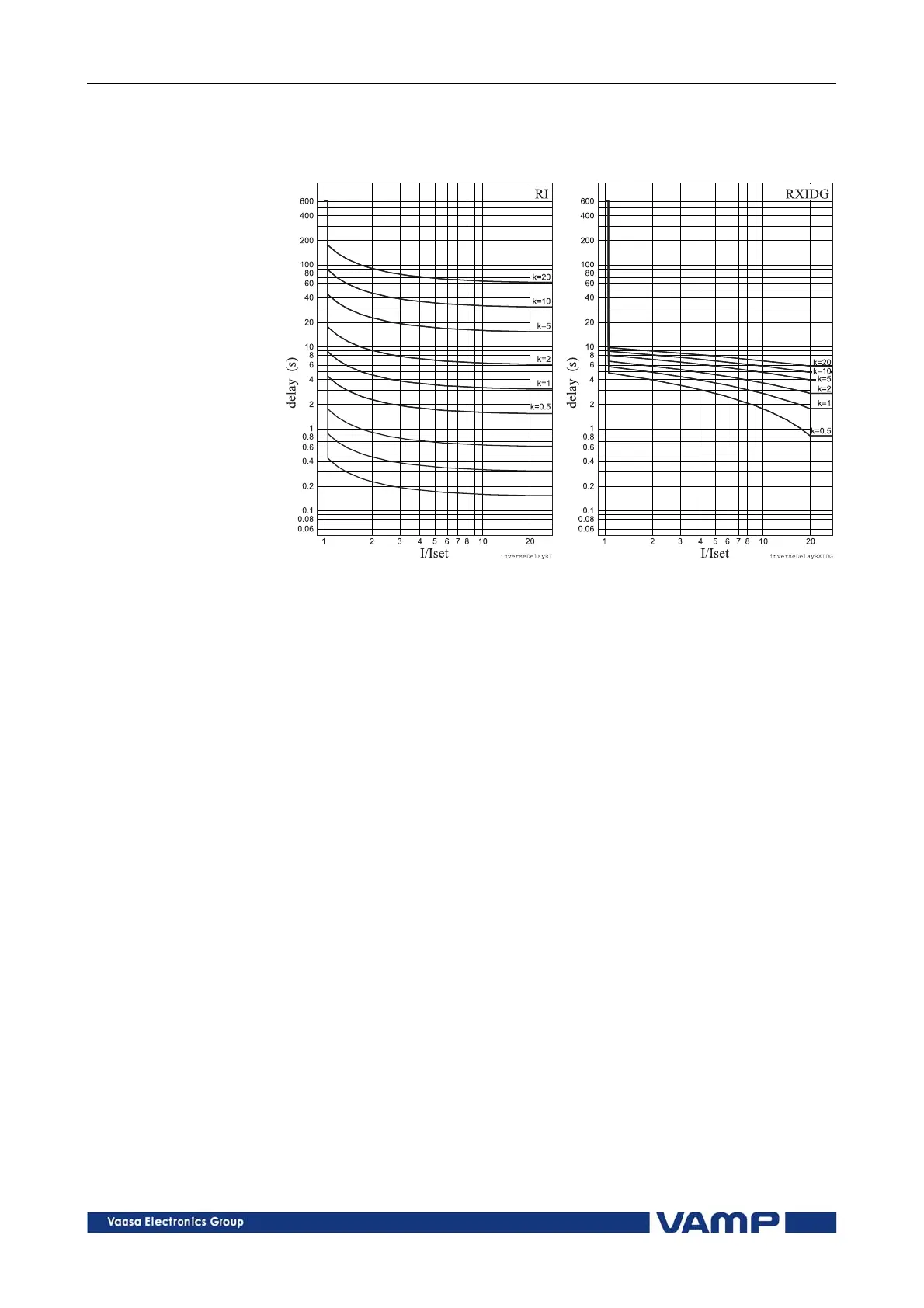
The operation time in this example will be 3.9 seconds. The
same result can be read from Figure 2.23.1-16.
Figure 2.23.1-15 Inverse delay of
type RI.
Figure 2.23.1-16 Inverse delay of
type RXIDG.

Table of Contents

Related product manuals