EasyManua.ls Logo

Waters 2998 - Page 78

Waters 2998
122 pages
Print Icon
To Next Page IconTo Next Page
To Next Page IconTo Next Page
To Previous Page IconTo Previous Page
To Previous Page IconTo Previous Page
Loading...
5-6 Spectral Contrast Theory
Spectra with similar shapes
In the following figure, the absorbance spectra of two compounds, A and B, are
similar. They therefore produce a small spectral contrast angle (3.0°).
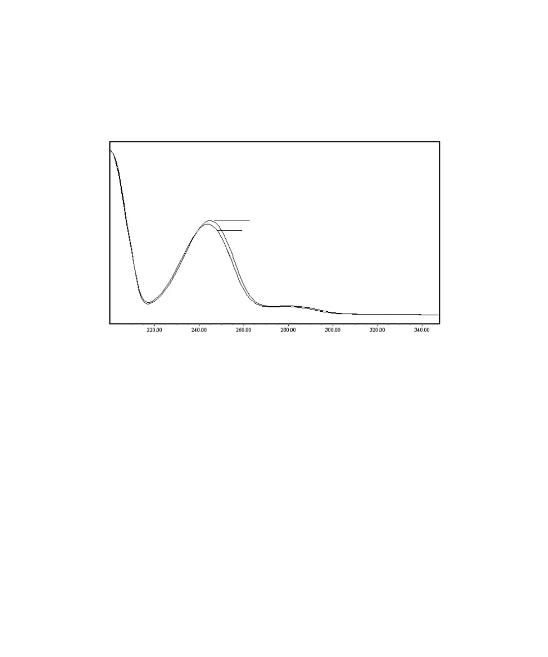
Spectra with a small spectral contrast angle
Differences between spectra of the same compound
Small but significant differences between absorbance spectra can result from
factors other than the absorbance properties of different compounds. For
example, multiple spectra of the same compound may exhibit slight
differences because of detector noise, photometric error, high sample
concentration, or variations in solvent conditions. The spectra in the next
figure, for example, show how instrument noise can affect the shape of an
absorbance spectrum of one compound at two concentrations, one high and
one low. Note that the spectral contrast angle between these absorbance
spectra of the same compound is 3.4°.
Spectral contrast angle: 3.0°
Compound A
Compound B
Wavelength (nm)
Normalized absorbance

Table of Contents

Other manuals for Waters 2998

Related product manuals