EasyManua.ls Logo

Waters 2998 - Undesirable Effects

Waters 2998
122 pages
Print Icon
To Next Page IconTo Next Page
To Next Page IconTo Next Page
To Previous Page IconTo Previous Page
To Previous Page IconTo Previous Page
Loading...
Undesirable effects 5-7
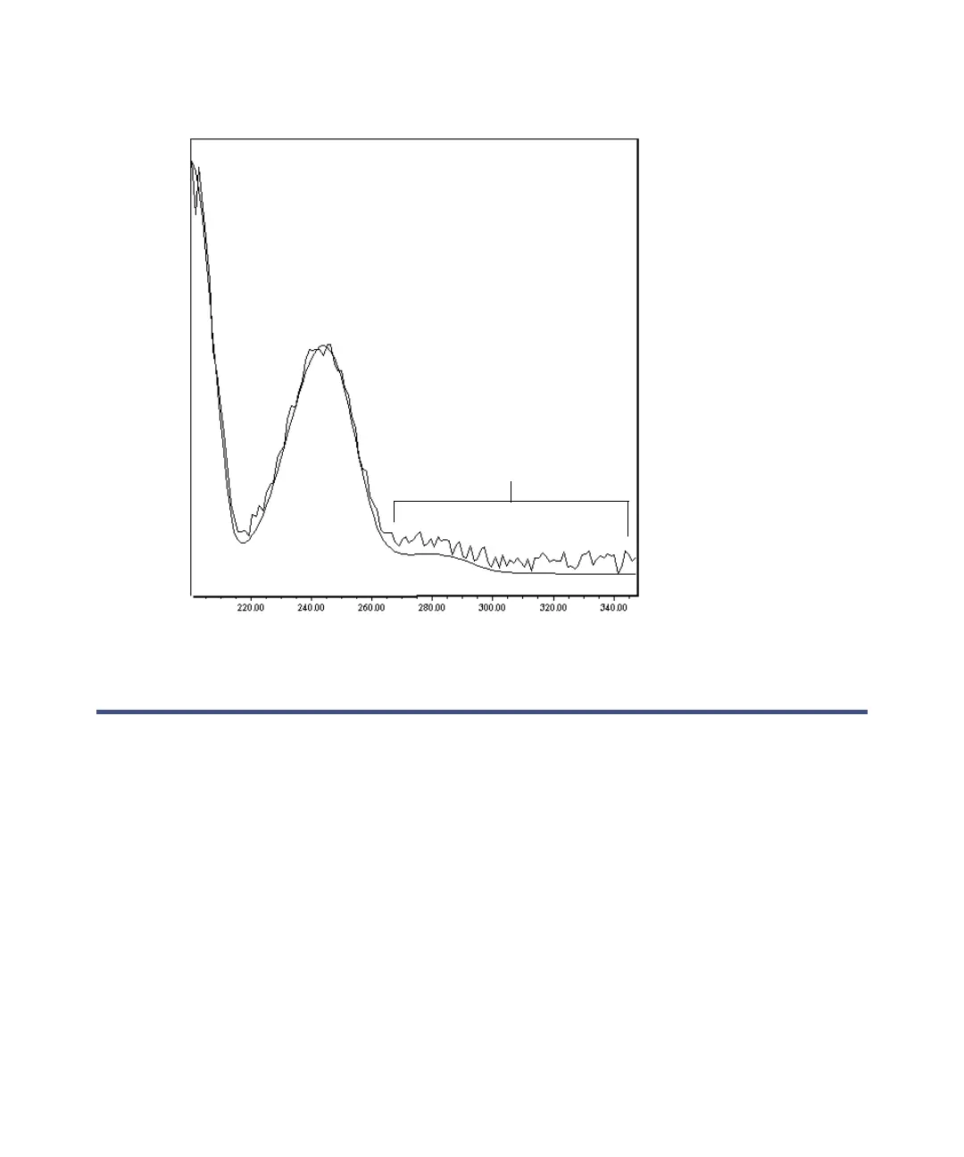
Normalized absorbance spectra of a compound at two concentrations
Undesirable effects
Shape differences between absorbance spectra can be caused by one or more of
the following undesirable effects:
Detector noise
Photometric error caused by high sample concentration
Variation in solvent composition
These sources of spectral variation can cause chemically pure,
baseline-resolved peaks to exhibit a small level of spectral inhomogeneity. You
can assess the significance of spectral inhomogeneity by comparing a spectral
contrast angle to a threshold angle (see page 5-8).
Normalized spectra of a compound at different
concentrations
Spectral contrast angle: 3.4°
Wavelength (nm)
Region of little or no
analyte absorption
Normalized absorbance

Table of Contents

Other manuals for Waters 2998

Related product manuals