EasyManua.ls Logo

York YMAE - Page 83

York YMAE
120 pages
Print Icon
To Next Page IconTo Next Page
To Next Page IconTo Next Page
To Previous Page IconTo Previous Page
To Previous Page IconTo Previous Page
Loading...
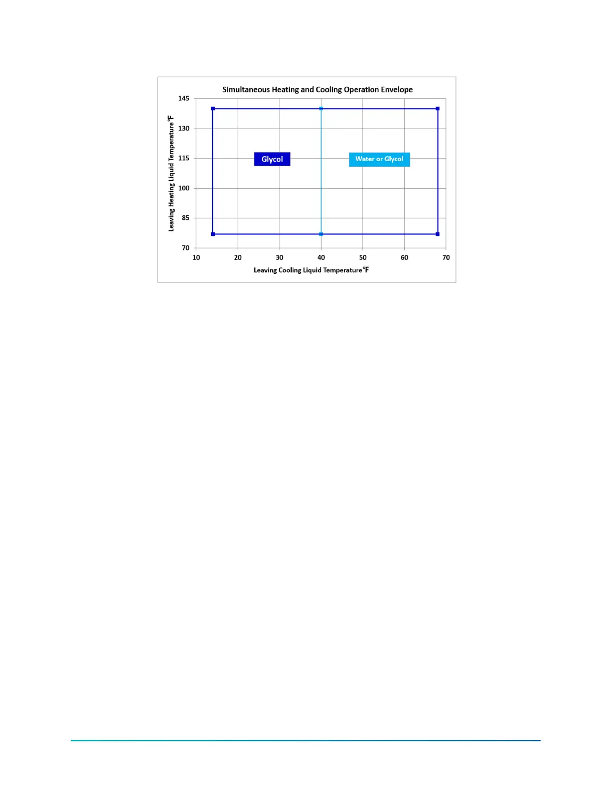
Figure 62: Four-pipe, simultaneous cooling and heating operation envelope
83YMAE Air-Cooled Inverter Scroll Chiller and Heat Pump

Table of Contents

Related product manuals