EasyManua.ls Logo

Zebra ET51 - Decoder Params

Zebra ET51
158 pages
To Next Page IconTo Next Page
To Next Page IconTo Next Page
To Previous Page IconTo Previous Page
To Previous Page IconTo Previous Page
Loading...
72
Touch to return to the previous screen.
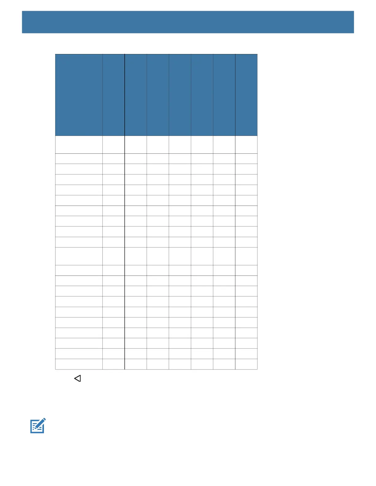
Decoder Params
Use Decode Params to configure individual decoder parameters.
NOTE: Not all parameter options are available with all scanners. See the DataWedge app on each device for the available
scanners and parameter options.
Japanese
Postal
O O O O O O O
Korean 3 of 5 O O O O O O O
MAIL MARK X X -- X X X X
Matrix 2 of 5 O O O O O O O
Maxicode X X X X X X X
MicroPDF O O O O O O O
MicroQR O O O O O O O
MSI O O O O O O O
PDF417 X X X X X X X
QR Code X X X X X X X
Decoder
Signature
O O O O O -- --
TLC 39 O O O O O O O
Trioptic 39 O O O O O O O
UK Postal O O O O O O O
UPCA X X X X X X X
UPCE0 X X X X X X X
UPCE1 O O O O O O O
US4state O O O O O O O
US4state FICS O O O O O O O
US Planet O O O O O O O
US Postnet O O O O O O O
Table 6 Supported Decoders (Continued)
Decoders
Camera
SE4750 Expansion Back
RS507/RS507X
RS6000
DS2278
DS3678
DS8178

Table of Contents

Other manuals for Zebra ET51

Related product manuals