EasyManua.ls Logo

Buell P3 2003 - Page 350

Buell P3 2003
413 pages
Print Icon
To Next Page IconTo Next Page
To Next Page IconTo Next Page
To Previous Page IconTo Previous Page
To Previous Page IconTo Previous Page
Loading...
2003 Buell P3: Electrical 7-11
HOME
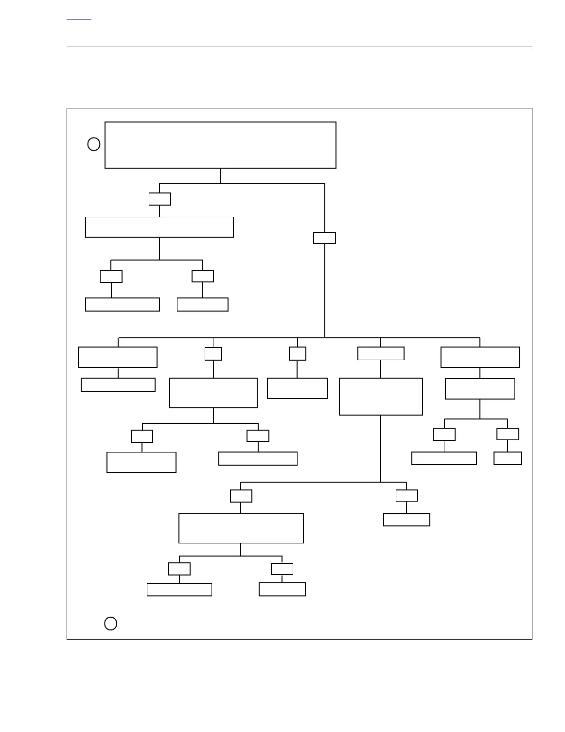
DRIVABILITY TROUBLESHOOTING
Poor Performance, Poor Fuel Economy,
Excessive Pinging
Figure 9. Drivability Troubleshooting
1
1
7553
7605
7575
7595
7554
7610
7580
7590
7604
7553
Locate connector [88A] on the carburetor. Remove Pin 3 on the harness side.
Install Breakout Box Adaptor (HD-42962) between [88A] and [88B]. Measure
voltage between pin 3 and pin 5 on the breakout box. Voltage should change
smoothly, slightly above 0.5V (closed throttle) and below 3.7V (open throttle).
Does it?
Check timing. See Ignition Module/Cam Position
Sensor for procedure. Is timing set correctly?
Check Auto-Enrichener. Adjust timing.
YES
YES
YES
YES
YES
NO
NO
NO
NO
NO
Closed throttle voltage
>0.55V or <0.45V
0V
12V
No Change Erratic or greater than
3.7V and less than 12V
Recalibrate TP Sensor. Check resistance between
Pin 3 and ground.
Is resistance less than 1
Locate and repair
Short to voltage.
Check continuity between
breakout box pin 5 and
connector [88B] pin 5.
Continuity present?
Check connections.
Terminals OK?
Locate and repair short
to ground.
Replace Ignition Module.
Check continuity between breakout box
Pin 3 and connector [88B] pins 3 and 4.
Continuity present?
Repair Open.
Replace TP Sensor.
Repair Open.
YES
NO
Replace TP Sensor. Repair
Remove seat and fuel tank cover. See 2.28 SEAT.
NOTE
Male connectors are labeled “A”
Female connectors are labeled “B”

Table of Contents

Related product manuals