EasyManua.ls Logo

Caen DT5740 - Fig. 3.3: Trigger Overlap

Default Icon
50 pages
Print Icon
To Next Page IconTo Next Page
To Next Page IconTo Next Page
To Previous Page IconTo Previous Page
To Previous Page IconTo Previous Page
Loading...
Document type:
Title:
Revision date:
Revision:
User's Manual (MUT)
Mod. DT5740 32 Channel 12bit - 65MS/s Digitizer
04/05/2016
12
NPO:
Filename:
Number of pages:
Page:
00100/09:5740x.MUTx/12
DT5740_REV12.DOC
50
23
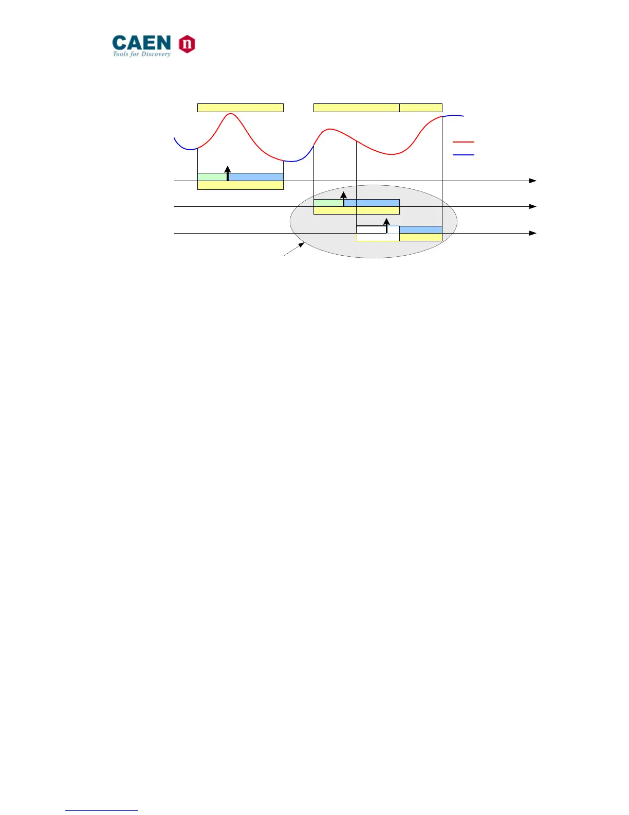
TRIGGER
PRE POST
ACQUISITION WINDOW
Recorded
Not Recorded
Overlapping Triggers
EVENT n EVENT n+1 EVENT n+2
Fig. 3.3: Trigger Overlap
A trigger can be refused for the following causes:
acquisition is not active;
memory is FULL and therefore there are no available buffers;
the required number of samples for building the pre-trigger of the event is not reached yet;
this happens typically as the trigger occurs too early either with respect to the
RUN_ACQUISITION command (see § 3.3.1) or with respect to a buffer emptying after a
MEMORY_FULL status (see § 3.3.5);
the trigger overlaps the previous one and the board is not enabled for accepting overlapped
triggers.
As a trigger is refused, the current buffer is not frozen and the acquisition continues writing on it.
The EVENT COUNTER can be programmed in order to be either incremented or not. If this
function is enabled, the EVENT COUNTER value identifies the number of the triggers sent (but
the event number sequence is lost); if the function is not enabled, the EVENT COUNTER value
coincides with the sequence of buffers saved and readout.

Table of Contents

Related product manuals