EasyManua.ls Logo

Canon EOS 50 E - Page 65

Canon EOS 50 E
207 pages
Print Icon
To Next Page IconTo Next Page
To Next Page IconTo Next Page
To Previous Page IconTo Previous Page
To Previous Page IconTo Previous Page
Loading...
Part
2:
Technical Information
Operation
steps
executed
by
the
380
EX:
1)
The
flash
coverage
is
set
automatically. (The
lens
focal
length
is
relayed
from
the
camera
to
the
380
EX.)
2)
The
flash-ready
signal
is
sent
to
the
camera.
3)
The
preflash
is
fired.
4)
The
main
flash
is
fired. (The
camera
sends
the
main
flash
output
information
to
the
380
EX.)
With
the
EOS
50/55/Elan
II
set
to
a Creative Zone
mode
and
the
380
EX's FP
flash
switch
turned
on,
high-speed
sync
(FP flash)
is
set
when
the
shutter
speed
is
faster
than
the
X-sync
speed.
With
the
380
EX's FP
flash
switch
turned
on
and
the
shutter
speed
set
slower
than
the
X-sync
speed,
normal
flash
is
set.
When
the
EOS
50/55/Elan
II
is
set
to
a
Programmed
Image Control mode
or
when
the
380
EX's FP
flash
switch
is
turned
off,
normal
flash
is
set.
Operation
steps
executed
by
the
EOS
50/55/Elan
II:
I)
Lens
focal
length
information
is
sent
to
the
380
EX.
2)
The
ambient
light
is
metered
with
the
current
metering
mode.
3)
The
algorithm
calculates
the
exposure
control.
4)
The
flash
aperture
is set.
5)
Sync
speed
The
flash
aperture
and
sync
speed
calculated
by
the
algorithm
are
set
by
the
EOS
50/55/Elan
II's
exposure
mode
and
metering
mode.
See
Tables
2-9
and
2-10.
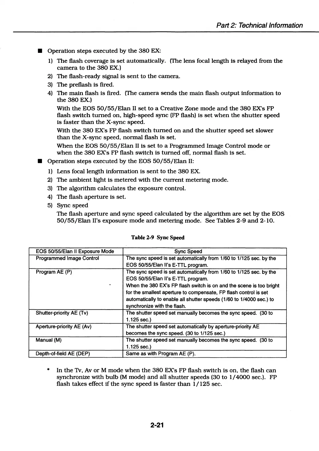
Table 2-9 Sync Speed
EOS 50/55/Elan
11
Exposure Mode
Sync Speed
Programmed Image Control The sync speed is set automatically from 1 /60 to 1 /125 sec. by the
EOS 50/55/Elan
ll's
E-TTL program.
Program AE (P) The sync speed is set automatically from 1 /60 to 1 /125 sec. by the
EOS 50/55/Elan
ll's
E-TTL program.
When the 380 EX's
FP
flash switch is on and the scene is too bright
for the smallest aperture to compensate,
FP
flash control is set
automatically to enable all shutter speeds (1/60 to 1/4000 sec.) to
synchronize with the flash.
Shutter-priority AE (Tv)
The shutter speed set manually becomes the sync speed. (30 to
1.125 sec.)
Aperture-priority AE (Av) The shutter speed set automatically by aperture-priority AE
becomes the sync speed. (30 to 1/125 sec.)
Manual (M) The shutter speed set manually becomes the sync speed.
(30 to
1.125sec.)
Depth-of-field AE (DEP) Same as with Program AE (P).
* In
the
Tu,
Av
or
M
mode
when
the
380
EX's FP
flash
switch
is
on,
the
flash
can
synchronize
with
bulb
(M
mode)
and
all
shutter
speeds
(30
to
1/4000
sec.). FP
flash
takes
effect
if
the
sync
speed
is
faster
than
1 /
125
sec.
2-21

Table of Contents

Related product manuals