EasyManua.ls Logo

Canon LASER CLASS 710 - Page 127

Canon LASER CLASS 710
436 pages
Print Icon
To Next Page IconTo Next Page
To Next Page IconTo Next Page
To Previous Page IconTo Previous Page
To Previous Page IconTo Previous Page
Loading...
LASER CLASS 730i/720i/710 Chapter 4: Maintenance and Service
4-44
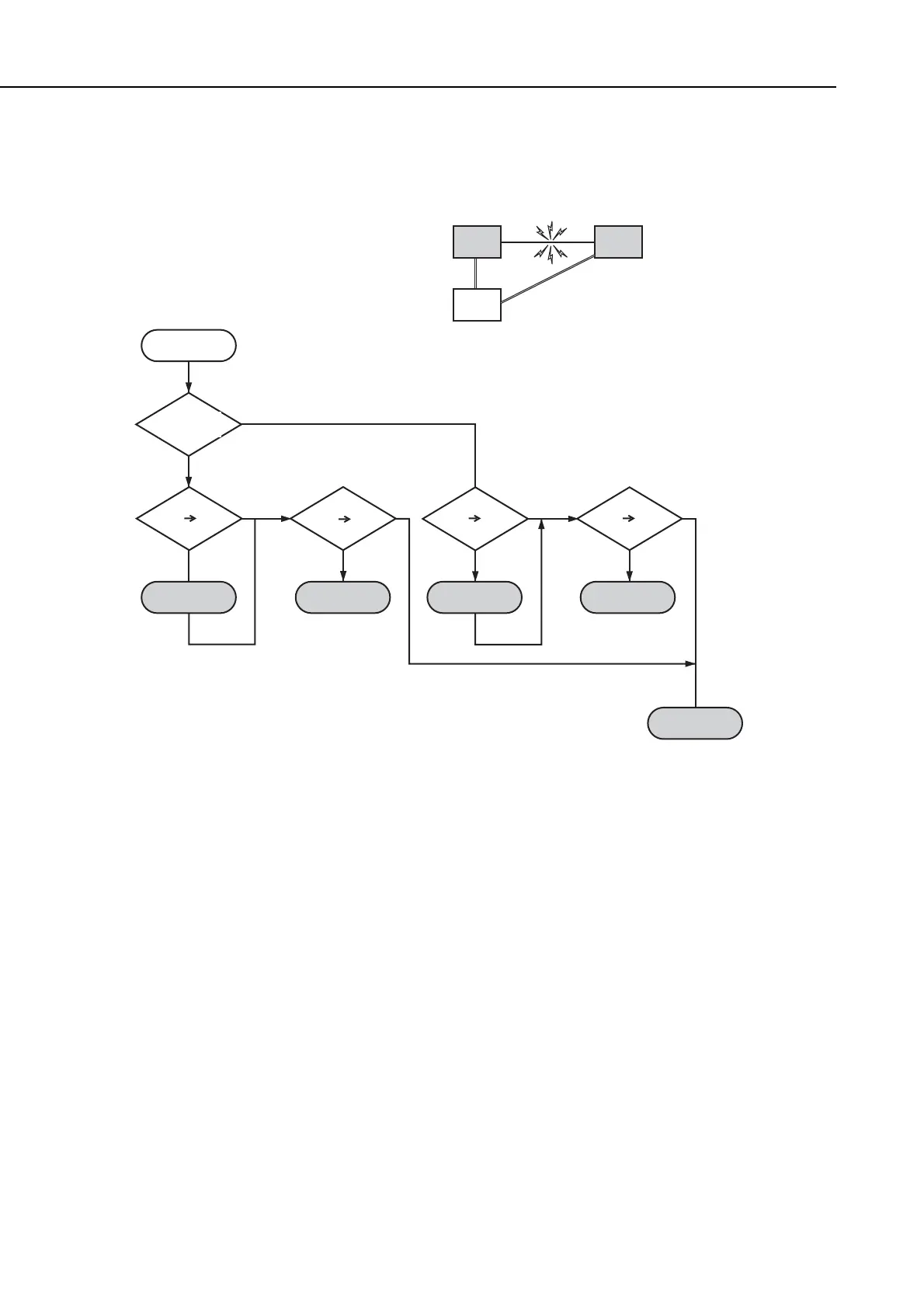
• Procedures for processing communication problems with Canon facsimile.
The process for carrying out communications at three points as shown in the figure.
Figure 4-12 Flowchart for Processing Communication Troubles
with Canon Facsimile
OK
OK
OK
OK
NG
NG
NG
NG
Reception
FAX:A
Trouble
FAX:B
FAX:C
Start
Transmission
or reception?
Check A.
B C
A C C B
Chec
k B.
Check the
line.
C A
Check A. Check B.
Transmission
A: Your customer's facsimile
B: Facsimile of other communication party
C: Facsimile for check in the same region. (C should
be the same model of facsimile as A.)

Table of Contents

Related product manuals