EasyManua.ls Logo

Casio 5142 - Using the Stopwatch (Stopwatch Lap Mode)

Casio 5142
129 pages
Print Icon
To Next Page IconTo Next Page
To Next Page IconTo Next Page
To Previous Page IconTo Previous Page
To Previous Page IconTo Previous Page
Loading...
E-69
Using the Stopwatch (Stopwatch lap mode)
You can use the Stopwatch Lap Mode to measure elapsed time and lap times, and to
recall lap times. Up to five lap times can be stored in memory. There is also memory
to record the fastest lap time. Though no more lap times are stored after five times are
in memory, the fastest lap time continues to be updated as required. Starting a new
elapsed time operation clears all of the memories (including fastest lap time).
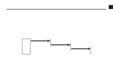
What is a lap time?
A lap time is the time elapsed over a specific segment of a race.
Example: Car race on an oval track
Start
Lap 1
Lap 2
Lap 3

Table of Contents

Related product manuals