EasyManua.ls Logo

Cisco Aironet 1200 Series - Security Overview

Cisco Aironet 1200 Series
272 pages
To Next Page IconTo Next Page
To Next Page IconTo Next Page
To Previous Page IconTo Previous Page
To Previous Page IconTo Previous Page
Loading...
Chapter 4 Security Setup
Security Overview
4-2
Cisco Aironet 1200 Series Access Point Software Configuration Guide
OL-2159-01
Security Overview
This section describes the types of security features you can enable on the access
point. The security features protect wireless communication between the access
point and other wireless devices, control access to your network, and prevent
unauthorized entry to the access point management system.
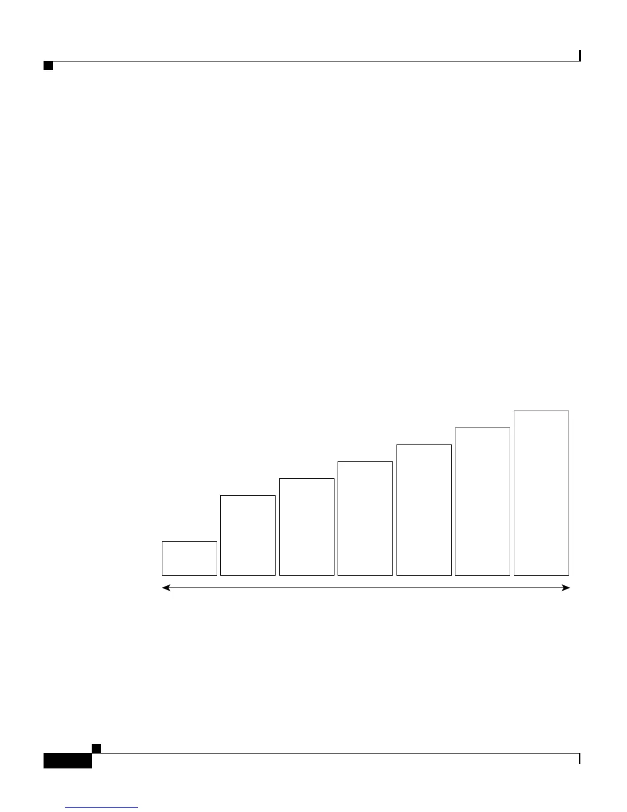
Levels of Security
Security is vital for any wireless network, and you should enable all the security
features available on your network. Figure 4-1 shows possible levels of security
on Cisco Aironet wireless networking equipment, from no security on the left to
highest security on the right. The highest level of security, EAP authentication,
interacts with a Remote Authentication Dial-In User Service (RADIUS) server on
your network to provide authentication service for wireless client devices.
Figure 4-1 Wireless LAN Security Levels
Default
settings
Unique
SSID with
Broadcast
SSID
disabled
Shared
key
authen-
tication
with WEP
Open
authen-
tication
with WEP
MAC-
based
authen-
tication
with WEP
EAP
authen-
tication
with WEP
EAP
authen-
tication
with MIC,
broadcast
key
rotation,
and WEP
Not secure Most secure
65677

Table of Contents

Other manuals for Cisco Aironet 1200 Series

Related product manuals