EasyManua.ls Logo

Daher TBM 940 - Page 367

Default Icon
946 pages
Print Icon
To Next Page IconTo Next Page
To Next Page IconTo Next Page
To Previous Page IconTo Previous Page
To Previous Page IconTo Previous Page
Loading...
Pilot's Operating Handbook
Section 4
Normal procedures
EASA Approved
Edition 0 - March 05, 2019
Rev. 0
Page 4.5.22
Utilization by cold weather (- 0°C to - 25°C) and very cold
weather (- 25°C to - 40°C) - Envelope 3 2/2
Continuing
Landing / After landing / Shutdown /
10 - Perform procedures defined for Envelope 1.
NOTE
If landing is foreseen by cold or very cold weather, or in case of prolonged
operation of the airplane in such conditions, it is recommended to prepare the
airplane as specified in chapter 8.10.
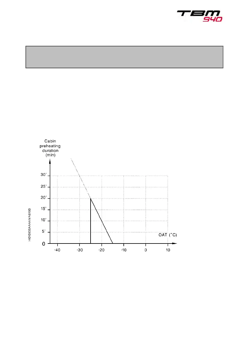
Figure 4.5.2 - Preheating duration
End of procedure.
PIM - DO NOT USE FOR FLIGHT OPERATIONS

Table of Contents

Related product manuals