EasyManua.ls Logo

EKOM DK50 PLUS/M - Page 132

EKOM DK50 PLUS/M
240 pages
Print Icon
To Next Page IconTo Next Page
To Next Page IconTo Next Page
To Previous Page IconTo Previous Page
To Previous Page IconTo Previous Page
Loading...
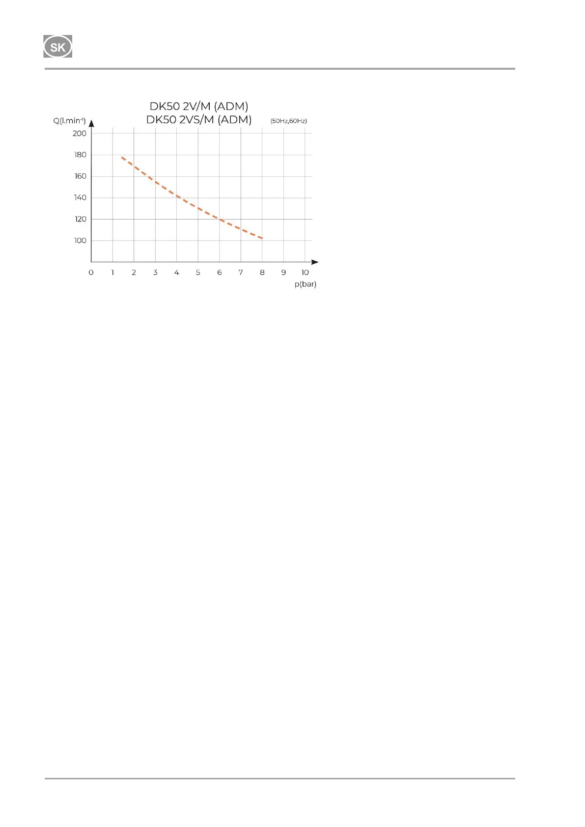
TECHNICKÉ ÚDAJE
NP-DK50 2V-A-4_10-2022-AD 132 10/2022
Závislosť výkonnosti kompresora od pracovného tlaku

Table of Contents

Related product manuals