EasyManua.ls Logo

EKOM DK50 PLUS/M - Page 136

EKOM DK50 PLUS/M
240 pages
Print Icon
To Next Page IconTo Next Page
To Next Page IconTo Next Page
To Previous Page IconTo Previous Page
To Previous Page IconTo Previous Page
Loading...
TECHNICKÉ ÚDAJE
NP-DK50 2V-A-4_10-2022-AD 136 10/2022
Pracovný tlak 8 10 bar
DK50 2V/M
DK50 2V S/M
Menovité napätie, Frekvencia
a)
V, Hz
230, 50
230, 50
Výkonnosť pri pretlaku 8 bar (FAD)
l/min
95
95
Pracovný tlak
b)
bar
8,0 10,0
8,0 10,0
Menovitý prúd
A
8,6
8,8
Výkon motora
kW
1,2
1,2
Objem vzdušníka
l
25
25
Kvalita vzduchu filtrácia
m
-
-
Povolený prevádzkový tlak poistného ventilu
bar
11,0
11,0
Hladina hluku pri pretlaku 5 bar (L
pA
)
dB
≤69,0
≤55,0
Režim prevádzky
%
S1-100
S1-100
Stupeň sušenia - PDP pri 7 bar
°C
-40
-40
Výstraha zkeho tlaku sušiča
bar
< 3
< 3
Výstraha vysokého tlaku sušiča
bar
˃ 11
˃ 11
Výstraha vysokého rosného bodu sušiča
°C
˃ -40
˃ -40
Čas naplnenia vzdušníka z 0 do 7 bar
s
120
120
Rozmery (netto)
š x h x v
mm
460x620x720
560x720x880
Hmotnosť netto
c)
kg
71
112
a)
Prevedenie kompresora uviesť pri objednávaní
b)
Iný rozsah tlaku konzultovať s dodávateľom
c)
Hodnota hmotnosti je informatívny údaj, platí len pre výrobok bez doplnkového vybavenia
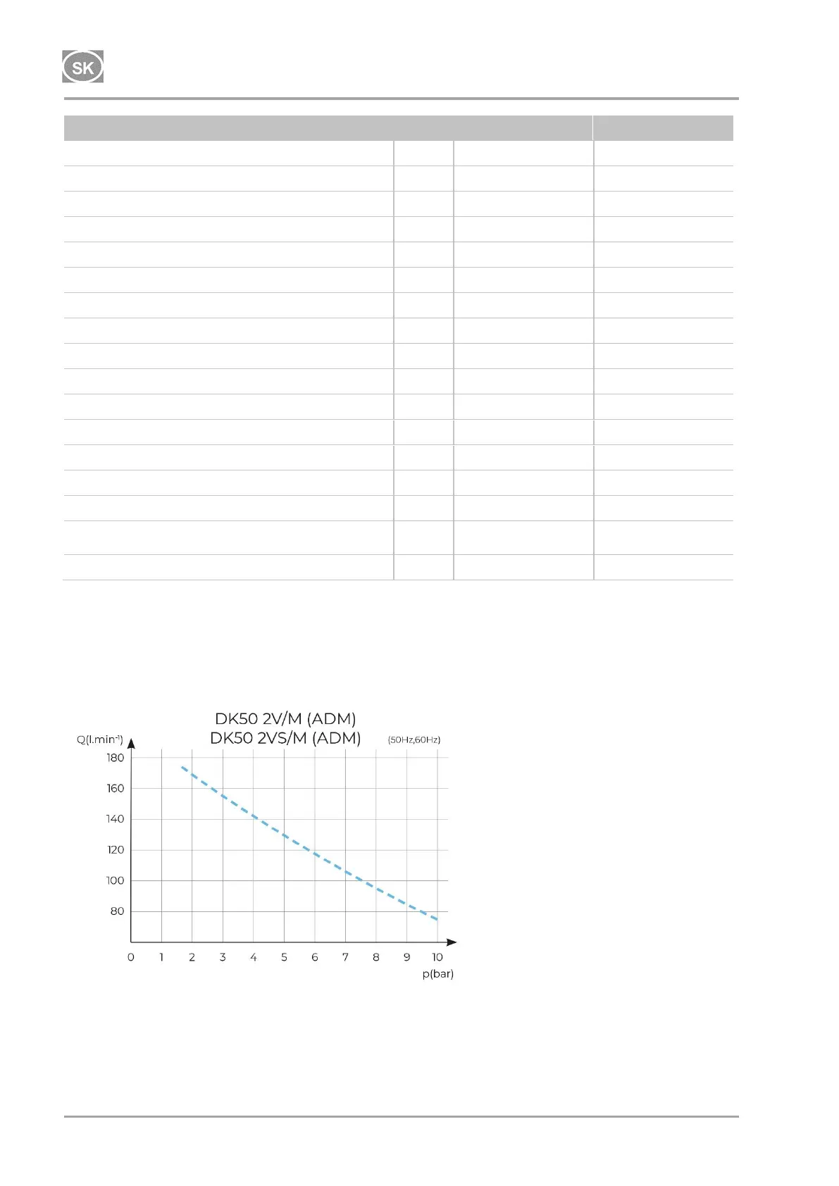
Závislosť výkonnosti kompresora od pracovného tlaku

Table of Contents

Related product manuals