EasyManua.ls Logo

EKOM DK50 PLUS/M - Page 17

EKOM DK50 PLUS/M
240 pages
Print Icon
To Next Page IconTo Next Page
To Next Page IconTo Next Page
To Previous Page IconTo Previous Page
To Previous Page IconTo Previous Page
Loading...
TECHNICAL DATA
10/2022 17 NP-DK50 2V-A-4_10-2022-AD
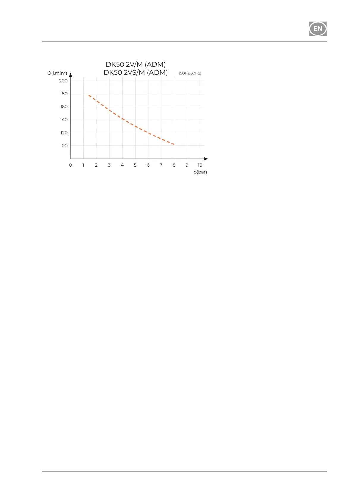
Dependence of compressor output on working pressure

Table of Contents

Related product manuals