EasyManua.ls Logo

EKOM DK50 PLUS/M - Page 188

EKOM DK50 PLUS/M
240 pages
Print Icon
To Next Page IconTo Next Page
To Next Page IconTo Next Page
To Previous Page IconTo Previous Page
To Previous Page IconTo Previous Page
Loading...
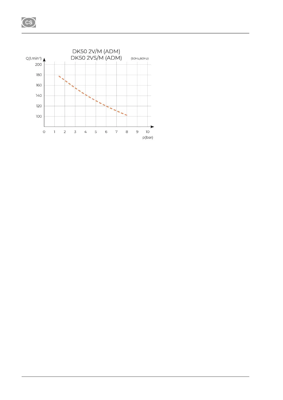
TECHNICKÉ ÚDAJE
NP-DK50 2V-A-4_10-2022-AD 188 10/2022
Závislost výkonnosti kompresoru od pracovního tlaku

Table of Contents

Related product manuals