EasyManua.ls Logo

EKOM DK50 PLUS/M - Page 191

EKOM DK50 PLUS/M
240 pages
Print Icon
To Next Page IconTo Next Page
To Next Page IconTo Next Page
To Previous Page IconTo Previous Page
To Previous Page IconTo Previous Page
Loading...
TECHNICKÉ ÚDAJE
10/2022 191 NP-DK50 2V-A-4_10-2022-AD
Pracovní tlak 8 10 bar
DK50 2V/M
DK50 2V S/M
Jmenovité napětí, frekvence
a)
V, Hz
230, 50
230, 50
Výkon kompresoru
při přetlaku 8 bar (FAD)
l/min
100
100
Pracovní tlak
b)
bar
8,0 10,0
8,0 10,0
Jmenovitý proud
A
8,6
8,8
Výkon motoru
kW
1,2
1,2
Objem vzdušníku
l
25
25
Kvalita vzduchu filtrace
m
-
-
Přípustný provozní tlak pojistného ventilu
bar
11,0
11,0
Hladina hluku při přetlaku 5 bar (L
pA
)
dB
≤69,0
≤55,0
Provozní režim
%
S1-100
S1-100
Stupeň sušení - PDP při tlaku 7 bar
°C
-20
-20
Výstraha nízkého tlaku sušiče
bar
< 3
< 3
Výstraha vysokého tlaku sušiče
bar
˃ 11
˃ 11
Výstraha vysokého rosného bodu sušiče
°C
˃ -20
˃ -20
Čas naplnění vzdušníku z 0 na 7 bar
s
115
115
Rozměry (netto)
š x h x v
mm
460x620x720
560x720x880
Hmotnost netto
c)
kg
71
112
a)
Provedení kompresoru uveďte při objednávce
b)
Jiný rozsah tlaku je třeba konzultovat s dodavatelem
c)
Hmotnost (váha) je informativní údaj, platí pouze pro robek bez jakéhokoli doplňkového
vybavení
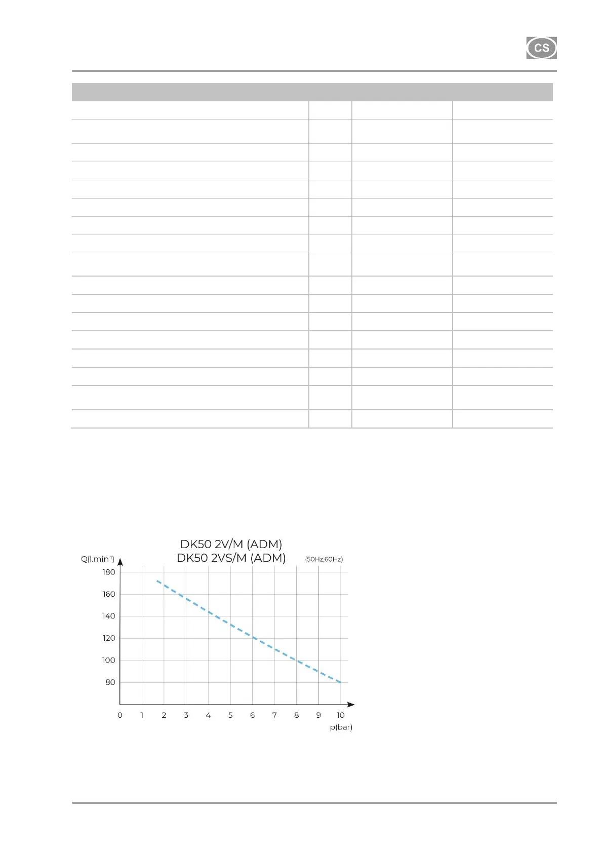
Závislost výkonnosti kompresoru od pracovního tlaku

Table of Contents

Related product manuals