EasyManua.ls Logo

EKOM DK50 PLUS/M - Page 21

EKOM DK50 PLUS/M
240 pages
Print Icon
To Next Page IconTo Next Page
To Next Page IconTo Next Page
To Previous Page IconTo Previous Page
To Previous Page IconTo Previous Page
Loading...
TECHNICAL DATA
10/2022 21 NP-DK50 2V-A-4_10-2022-AD
Working pressure 8 10 bar
DK50 2V/M
DK50 2V S/M
Nominal voltage
Frequency
a)
V, Hz
230, 50
230, 50
Capacity at 8 bar (FAD)
l/min
95
95
Working pressure
b)
bar
8.0 10.0
8.0 10.0
Rated current
A
8.6
8.8
Motor power
kW
1.2
1.2
Air tank volume
l
25
25
Air quality filtration
m
-
-
Maximum operating pressure of safety valve
bar
11.0
11.0
Noise level at 5 bar (L
pA
)
dB
≤69.0
≤55.0
Operating mode
%
S1-100
S1-100
PDP drying at 7 bar
°C
-40
-40
Dryer low pressure warning
bar
< 3
< 3
Dryer high pressure warning
bar
˃ 11
˃ 11
Dryer high dew point warning
°C
˃ -40
˃ -40
Time to fill air tank from 0 to 7 bar
s
120
120
Dimensions (net)
w x d x h
mm
460x620x720
560x720x880
Net weight
c)
kg
71
112
a)
State the compressor variant in the order
b)
For other range of pressure consult with the supplier
c)
Weight value is only informative data and applies only to a product without any accessories
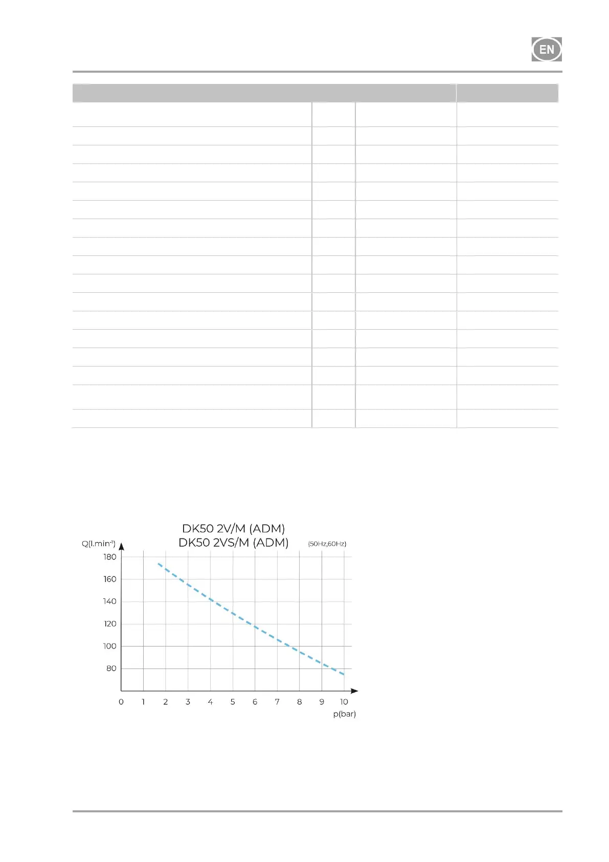
Dependence of compressor output on working pressure

Table of Contents

Related product manuals