EasyManua.ls Logo

Eloma Genius compact - Baking

Eloma Genius compact
48 pages
Print Icon
To Next Page IconTo Next Page
To Next Page IconTo Next Page
To Previous Page IconTo Previous Page
To Previous Page IconTo Previous Page
Loading...
27
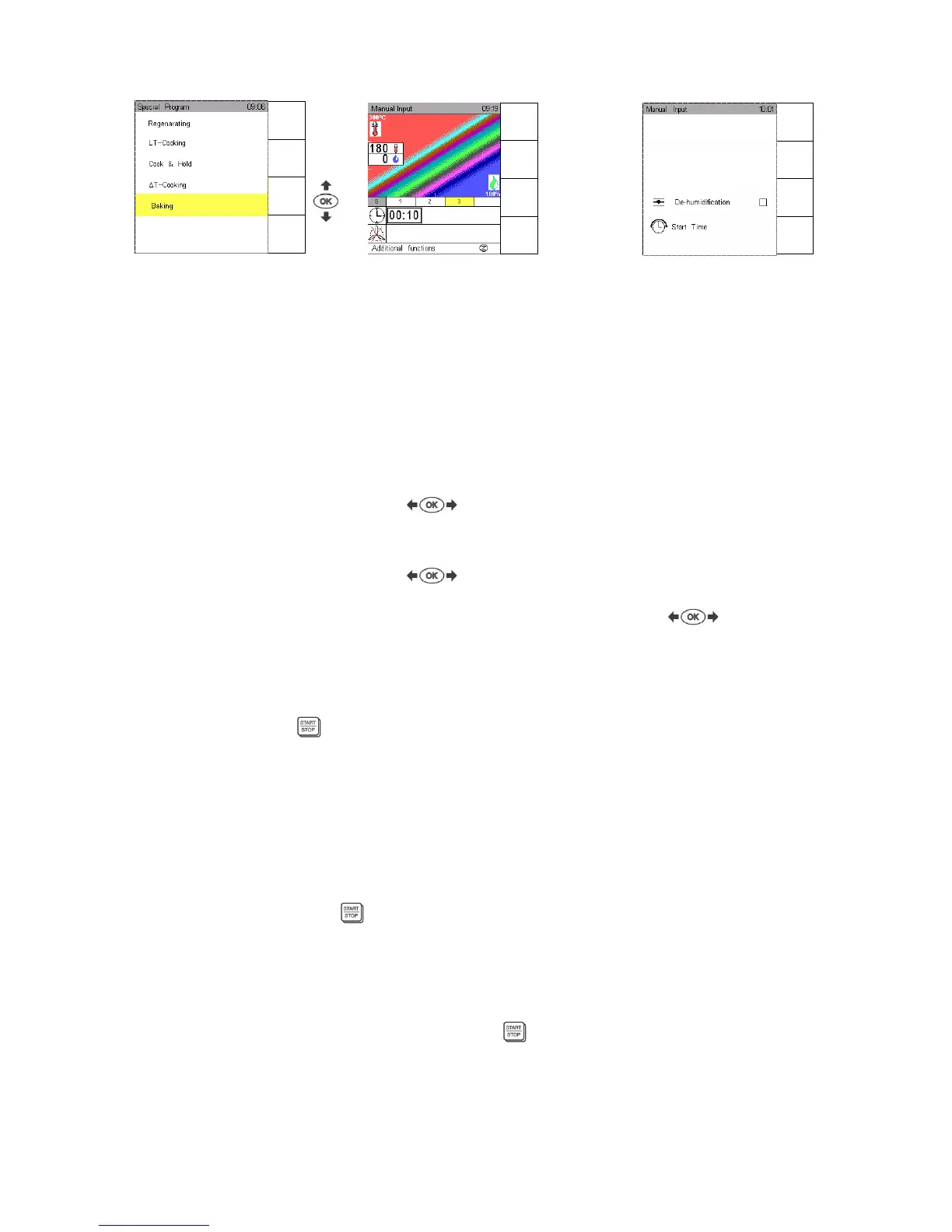
7.5 Baking
Touch sensor key Special programs.
Use the Scout arrow to select “Baking” and confirm with OK.
With the Climatic Cursor the temperature/steam quantity can be set.
Input range: temperature 0°C – 300°C, and steam quantity 10 – 1000 ml or seconds.
Standard setting for baking is temperature 180°C und steam quantity is 0.
Manual baking program.
1. Use Scout arrows to determine temperature between 0°C – 300°C.
2. Use Scout arrows to determine the steam quantity: 10 –1000 ml or 0. Gradation in 10 ml steps.
If the steam injection quantity is "0" in the first baking stage, and confirmed with OK,
on the time display appears 00:00, and the baking times between 00:00 and 23:59
can be entered using the arrow-keys.
.
If the steam injection quantity is “>0" in the first baking stage, and confirmed with OK,
on the time display appears 00:00, and the baking times between 00:00 and 23:59
can be entered using the arrow-keys. .
After input of the baking time and confirmation with OK the display “break time“
indicates 0 sec.. Set the rest time between 0-99 seconds with the arrow keys
.
You can set rest time 0, too.
When baking step input, the time must always be entered, if not, the following data will not be accepted.
The appliance always has to be preheated. Select function Active temp as described in Sec. 9.
It is possible to enter several baking steps in a bake program, see Sec. 3.4.
Up to 20 baking steps are possible.
Start the device with
To save a baking program follow the instructions in Sec. 5.1.
Additional functions:
If the sensor key manual steam is pressed, water is evaporated in the cooking chamber.
Use the Joker Scout arrow , go to line “Additional“ and select additional functions.
Use the Joker Scout arrows or for selection.
Confirm functions to be On or Off with OK, a selected function is marked ““.
Stop the bake program
To stop this function, press
key.
The info line indicated "Bake."
Program end:
Once the baking time has run down, there is sound signal.
Open the door and take out the baked food.
The same baking program may be started again with .
Manual
Input
Autoclean
HACCP
Special
Menu
back
Save
Next
Step
Preheat
OFF
Menu
back
Save
Next
Step
Preheat
OFF

Table of Contents

Related product manuals