EasyManua.ls Logo

Hardy Instruments A Series - Guidelines for Instabilities on Formerly Operating Systems

Hardy Instruments A Series
88 pages
Print Icon
To Next Page IconTo Next Page
To Next Page IconTo Next Page
To Previous Page IconTo Previous Page
To Previous Page IconTo Previous Page
Loading...
CHAPTER 7 - Troubleshooting
7-7
Guidelines for
Instabilities on
Formerly Operating
Systems
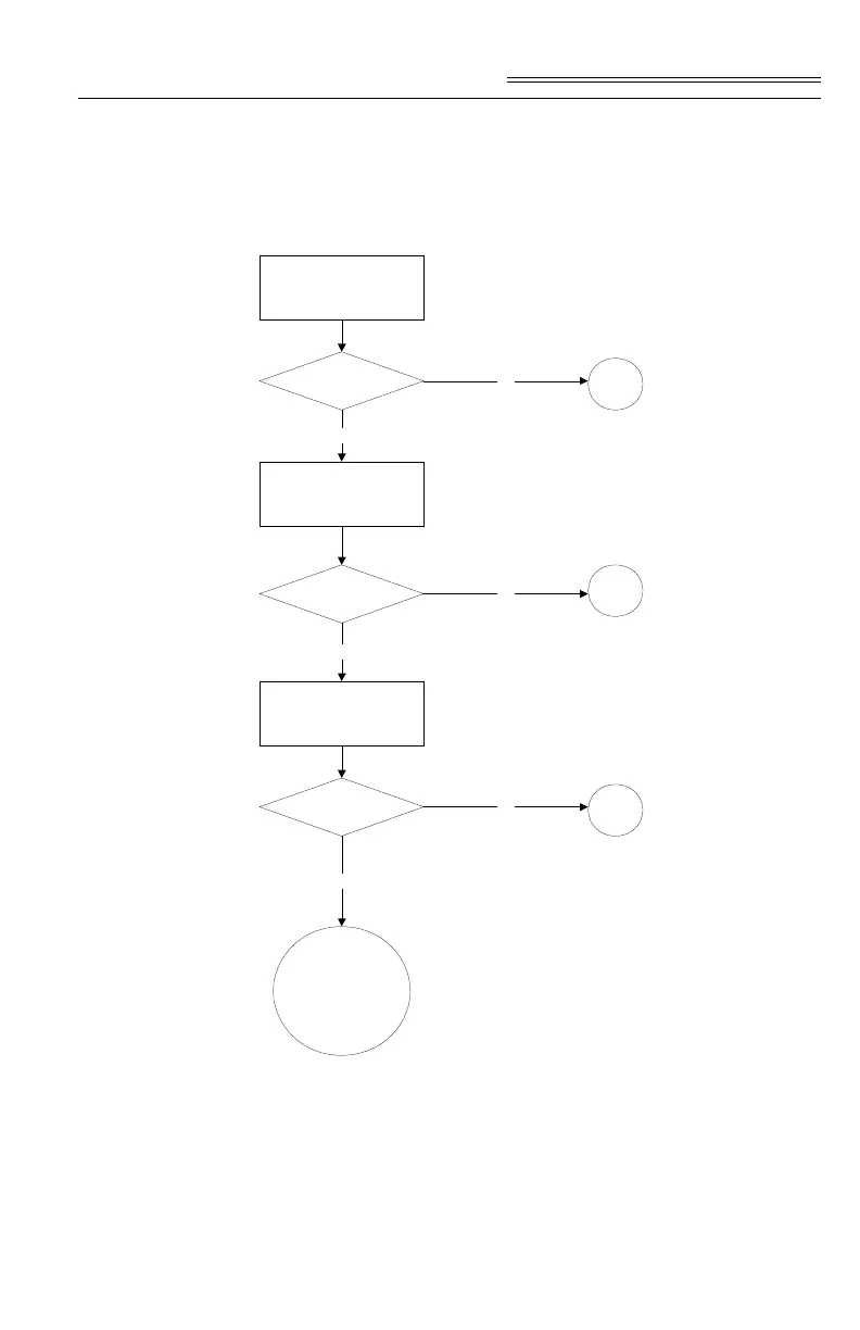
See Figure 7-5
FIG. 7-5 GUIDELINES FOR INSTABILITIES ON
FORMERLY OPERATING SYSTEMS
Check for
Electrical Stability
OK ?
Contact Hardy
Instruments
Customer Support
Check for
Mechanical Stability
OK ?
Yes
Check Configuration
settings for
Stability
No
OK ?
Yes
Yes
B1
B2
B3
No
No

Table of Contents