EasyManua.ls Logo

HP 5300A - Page 71

HP 5300A
90 pages
Print Icon
To Next Page IconTo Next Page
To Next Page IconTo Next Page
To Previous Page IconTo Previous Page
To Previous Page IconTo Previous Page
Loading...
Model
5300A
Circuit
Diagrams
REFERENCE
SIGNAL
NAME
DESIG.
AlJ1
+5V
+5V
+5V
+5V
+5V
+5V
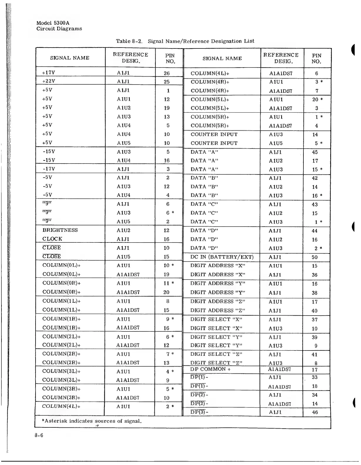
Table
8-2.
Signal
Name/Reference
Designation
List
REFERENCE
PIN
O.
ee
ee
COLUMN(GR)+
Alvi
3
COLUMN(5L)+
A1U1
foe,
|
aes
COLUMN(5R)+
AlU1
1*
COUNTER
INPUT
A1U3
14
5V
COUNTER
INPUT
A1US
A1U3
DATA
"A"
Alsi
[45
-15V
A1U4
DATA
"A"
A1U2
A1s1
3
DATA
"A"
A1U3
15
*
-5V
Als1
2
DATA
"B"
Aldi
-5V
A1U4
DATA
"B"
A1U3
16
*
7
2
4
nor
AlJ1
3
Hy)
1
*
4
1
DATA
"C"
AlJ1
4
DATA
"Cc"
A1U2
1
DATA
"Cc"
A1U3
DATA
"D"
AlJ1
44
DATA
"D"
A1U2
16
DATA
"D"
A1U3
2
*
DIGIT
ADDRESS
''x"'
A1ul1
15
38
17
37
10
41
8
17
2
2
1
1
1
1
1
+
zd
6
5
1
2
9
3
5
0
0
5
~
nn
yw
D
Dir
*
gr
A1U3
Ou
A1U5
CLOCK
AiJ1
16
CLOSE
A1U5
15
COLUMN(0L)+
A1AIDS7
19
COLUMN(0R)+
Al1U1
11
*
COLUMN(OR)+
A1A1DS7
20
COLUMN(1L)+
AlU1
8
COLUMN(1L)+
A1A1DS7
15
COLUMN(1R)+
A1U1
9
*
COLUMN(1R)+
A1A1DS7
16
COLUMN(2L)+
Al1U1
6%
COLUMN(2L)+
ALAIDST
12
)
COLUMN(2R)+
ALAIDS7
13
COLUMN(3L)+
A1U1
COLUMN(3L)+
A1A1DS7
—_
Re
DIGIT
ADDRESS
''y"
DIGIT
ADDRESS
"YY"
DIGIT
ADDRESS
"'Z"
DIGIT
ADDRESS
"Z"
DC
IN
(BATTERY/EXT)
AlJ1
16
40
DIGIT
SELECT
"x"
AlJ1
DIGIT
SELECT
"X"
ee
aes
DIGIT
SELECT
"Y"
AlJ1
IGIT
SELECT
'"'y"
fa
ee
IGIT
SELECT
"2"
AlJ1
IGIT
SELECT
"2"
A1U3
P
COMMON
+
A1A1DS7
|
17
0 0
!
Oo
*
DPW
-
All
COLUMN(3R)+
A1U1
5
*
DE
s
A1AIDS7
DP(2)-
1)
*
oO}
0
o}
|
td
os
|
BS)
'
4
COLUMN(3R)+
COLUMN(4L)+
A1AI1DS7
10
AlU1
o
aa
AlJ1
34
*Asterisk
indicates
sources
of
signal.
iF
8-6

Related product manuals