EasyManua.ls Logo

Kuka IONTEC KR 70 R2100 F - Page 143

Kuka IONTEC KR 70 R2100 F
344 pages
To Next Page IconTo Next Page
To Next Page IconTo Next Page
To Previous Page IconTo Previous Page
To Previous Page IconTo Previous Page
Loading...
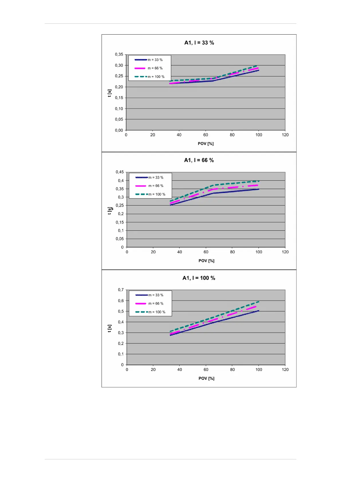
Fig. 4-92: Stopping times for STOP 1, axis 1
KR IONTEC
MA KR IONTEC V4 | Issued: 11.05.2021 www.kuka.com | 143/344
Technical data

Table of Contents

Related product manuals